Open Access

Fig. 5.

image

Download original image

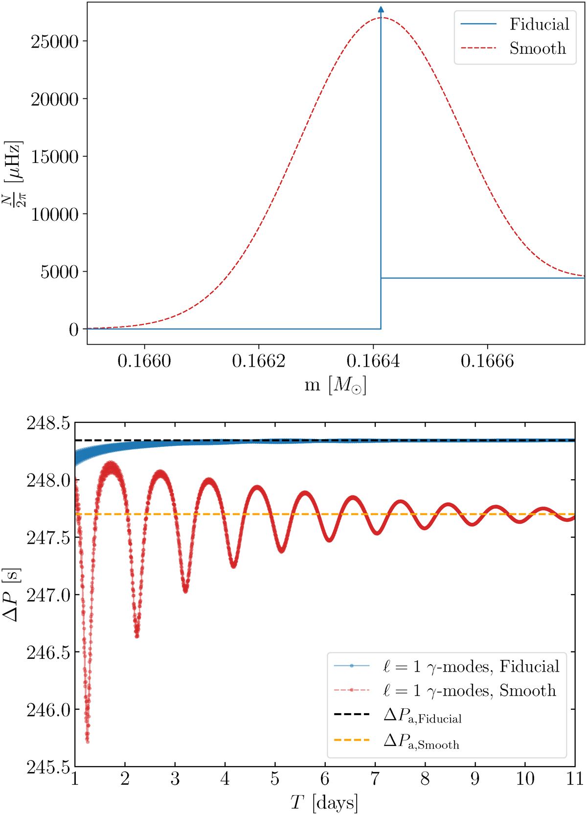
Comparison of N profiles as functions of internal mass (top panel) and period spacings of the γ-modes as functions of the eigenperiods (bottom panel). The blue line represents the fiducial model, while the red model features a bell-shaped structure in the N profile at the boundary between the convective and radiative core (see Section 4). The periodicity of the glitch corresponds to the location of the bell-shaped structure. The half width at half maximum of the bell-shaped structure presented here is 0.0012HP.

Current usage metrics show cumulative count of Article Views (full-text article views including HTML views, PDF and ePub downloads, according to the available data) and Abstracts Views on Vision4Press platform.

Data correspond to usage on the plateform after 2015. The current usage metrics is available 48-96 hours after online publication and is updated daily on week days.

Initial download of the metrics may take a while.