Open Access

Fig. 11

image

Download original image

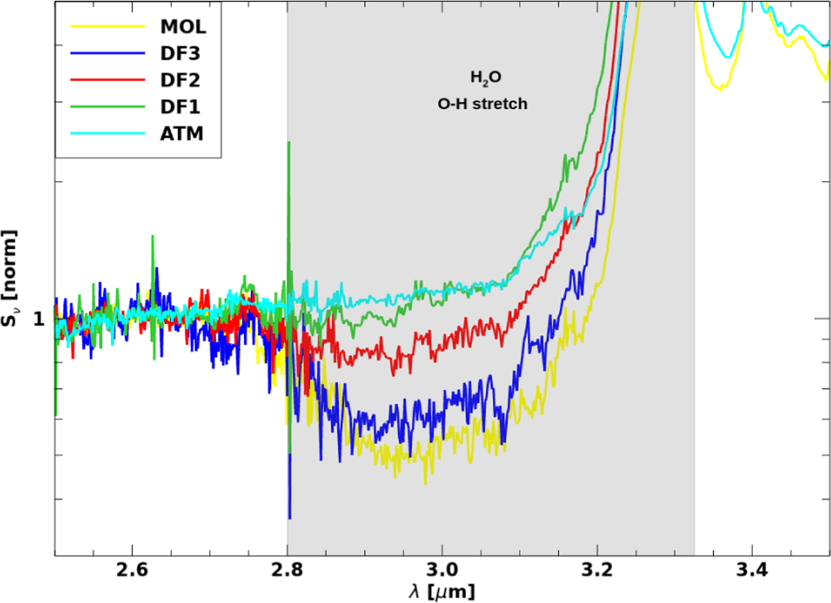
Plot of NGC 7023 spectra in the wavelength regime around 3 μm. Significant H2O ice absorption is apparent in the MOL and DF3 regions, with a marginal indication in the DF2 region. The DF1 and ATM regions are consistent with no absorption. Spectra have been normalized at 2.5–2.65 μm.

Current usage metrics show cumulative count of Article Views (full-text article views including HTML views, PDF and ePub downloads, according to the available data) and Abstracts Views on Vision4Press platform.

Data correspond to usage on the plateform after 2015. The current usage metrics is available 48-96 hours after online publication and is updated daily on week days.

Initial download of the metrics may take a while.