Open Access

Fig. 13

image

Download original image

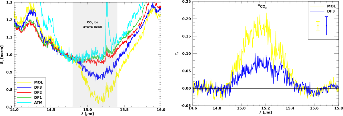
Plot of NGC 7023 spectra in the wavelength regime around 15.2 μm. Left: 12CO2 ice absorption at ~15.2 μm is detected in the MOL and DF3 regions. The spectra are normalized between 14.6 and 14.8 μm. Right: estimate of the optical depth in the ice absorption band.

Current usage metrics show cumulative count of Article Views (full-text article views including HTML views, PDF and ePub downloads, according to the available data) and Abstracts Views on Vision4Press platform.

Data correspond to usage on the plateform after 2015. The current usage metrics is available 48-96 hours after online publication and is updated daily on week days.

Initial download of the metrics may take a while.