Open Access

Fig. 22.

image

Download original image

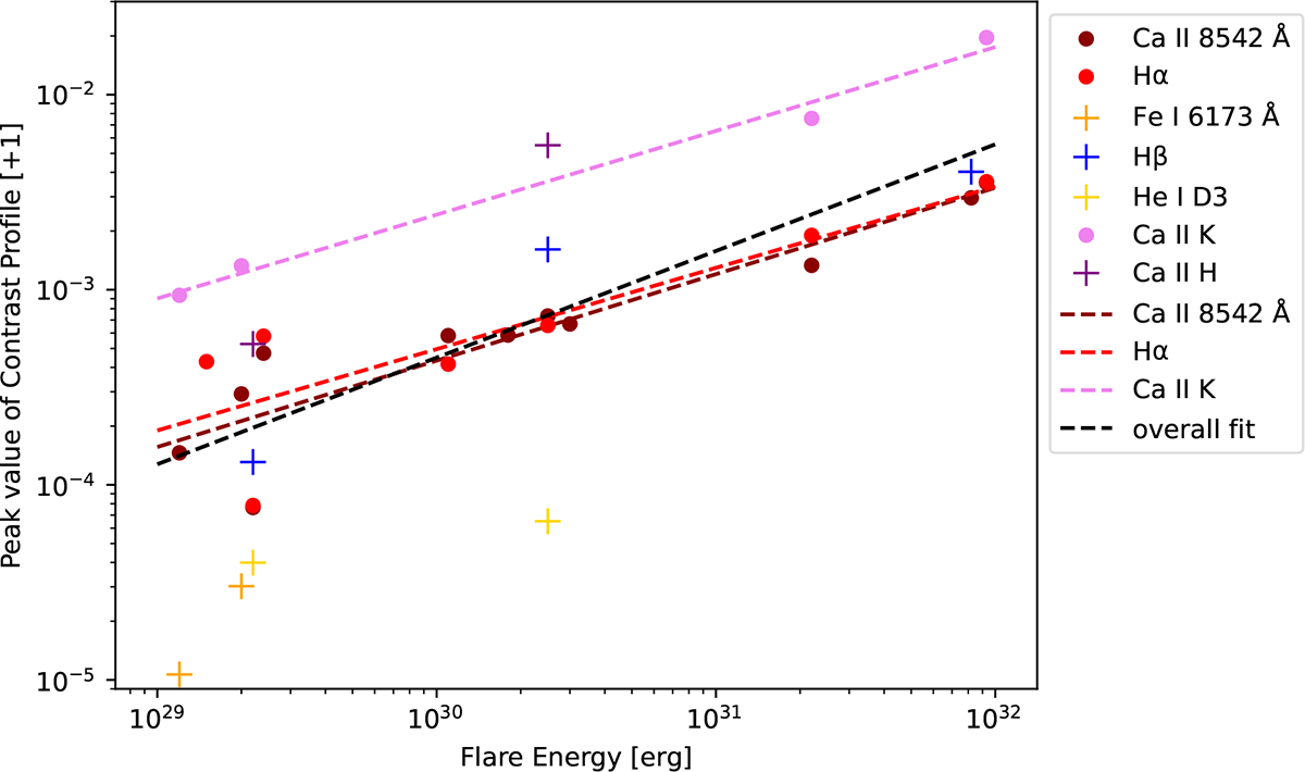
Correlation between peak values of contrast profiles and flare energy. Lines with four or more data points were fitted individually, while lines with fewer were only considered for the overall fit. Lines with individual fits are Ca II 8542 Å, Hα, Ca II K lines (dots) and lines only considered for the overall fit are Fe I 6173 Å, He I D3, Hβ, Ca II H lines (plus signs).

Current usage metrics show cumulative count of Article Views (full-text article views including HTML views, PDF and ePub downloads, according to the available data) and Abstracts Views on Vision4Press platform.

Data correspond to usage on the plateform after 2015. The current usage metrics is available 48-96 hours after online publication and is updated daily on week days.

Initial download of the metrics may take a while.