Open Access

Fig. B.1

image

Download original image

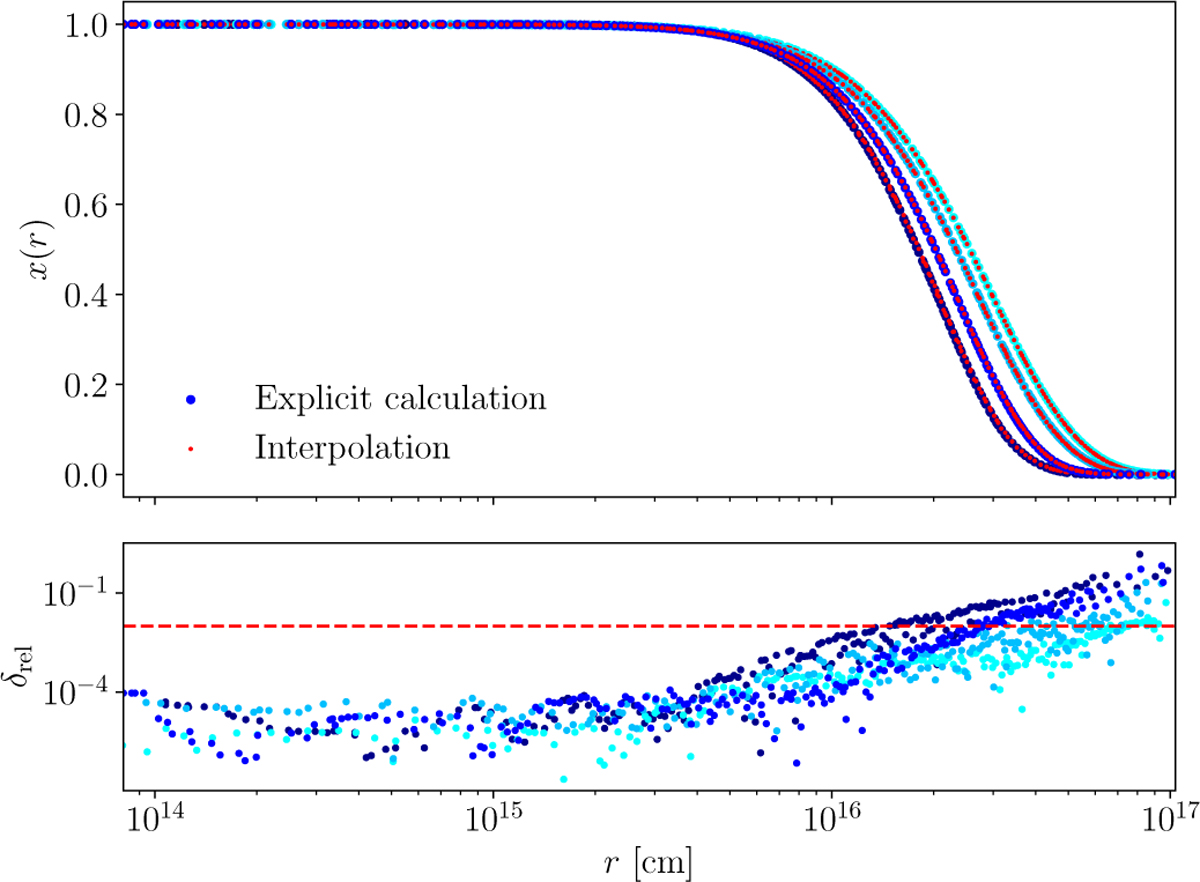
Top: x(r) for rays in four different directions in the vl0al5 model. The blue dots show the explicit calculation of x(r), and red the interpolation between the eight nearest rays. Bottom: Relative difference between the explicitly calculated and interpolated values. The red dashed line corresponds to a relative difference of 1%.

Current usage metrics show cumulative count of Article Views (full-text article views including HTML views, PDF and ePub downloads, according to the available data) and Abstracts Views on Vision4Press platform.

Data correspond to usage on the plateform after 2015. The current usage metrics is available 48-96 hours after online publication and is updated daily on week days.

Initial download of the metrics may take a while.