Open Access

Fig. 2.

image

Download original image

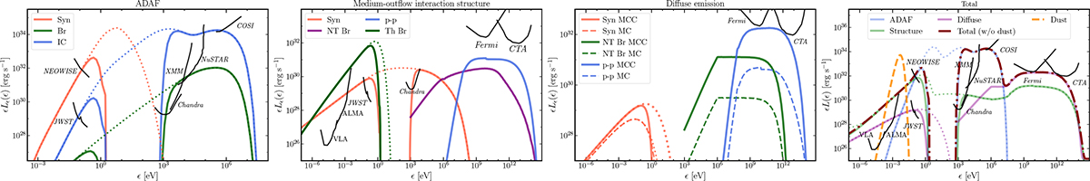
Spectrum of an IBH inside a molecular cloud core for the parameters listed in Table 1. The dotted and solid lines represent the absorbed and unabsorbed spectra, respectively. The VLA sensitivity curve corresponds to a total observation time of 1 h, while the ALMA sensitivity curve corresponds to an on-sourve time of 1 h. We extracted the 10 ks MIRI sensitivity curve from the instrument user documentation (https://jwst-docs.stsci.edu/jwst-mid-infrared-instrument/miri-performance/miri-sensitivity). The NEOWISE sensitivity is taken from Mainzer et al. (2011). The Chandra, XMM-Newton and NuSTAR sensitivity curves correspond to observation times of 100 ks, and were taken from https://chandra.harvard.edu/about/specs.html, Ferrando (2002) and Koglin et al. (2005), respectively. The COSI sensitivity corresponds to a 2 yr survey time (Tomsick et al. 2019). The Fermi sensitivity curve corresponds to a 10 yr observation for sources with Galactic latitude |b|< 30° (see https://www.slac.stanford.edu/exp/glast/groups/canda/lat_Performance.htm). The CTA sensitivity curve corresponds to a 50 h observation time (Cherenkov Telescope Array Consortium 2019). We assumed a distance to the source of 2 kpc. First panel: accretion emission. The hot electrons emit via synchrotron and bremsstrahlung, and also Comptonise the low-energy photons. Second panel: shocked medium thermal emission and shocked outflow non-thermal emission. Third panel: non-thermal emission from protons and electrons diffusing through the core (solid lines) and the outer regions of the molecular cloud (dashed lines). Fourth panel: total spectrum, including the emission from the molecular cloud dust.

Current usage metrics show cumulative count of Article Views (full-text article views including HTML views, PDF and ePub downloads, according to the available data) and Abstracts Views on Vision4Press platform.

Data correspond to usage on the plateform after 2015. The current usage metrics is available 48-96 hours after online publication and is updated daily on week days.

Initial download of the metrics may take a while.