Open Access

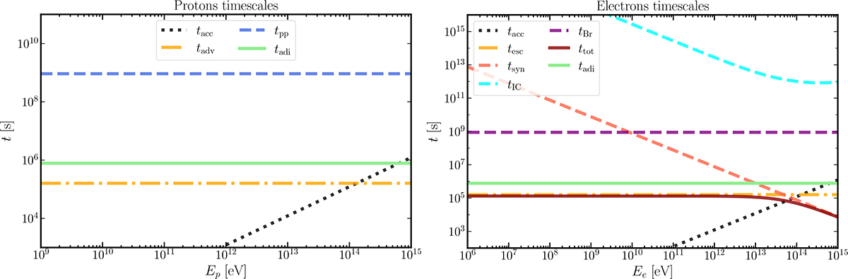
Fig. 3.

image

Download original image

Characteristic timescales for protons (left panel) and electrons (right panel) at the deflection point of the forward outflow. Electrons reach maximum energies of Emax, e ∼ 60 TeV, while protons reach Emax, p ∼ 100 TeV. Protons escape from the structure without radiating significantly. Along the tube, the most energetic electrons suffer significant synchrotron cooling.

Current usage metrics show cumulative count of Article Views (full-text article views including HTML views, PDF and ePub downloads, according to the available data) and Abstracts Views on Vision4Press platform.

Data correspond to usage on the plateform after 2015. The current usage metrics is available 48-96 hours after online publication and is updated daily on week days.

Initial download of the metrics may take a while.