Open Access

Fig. 14

image

Download original image

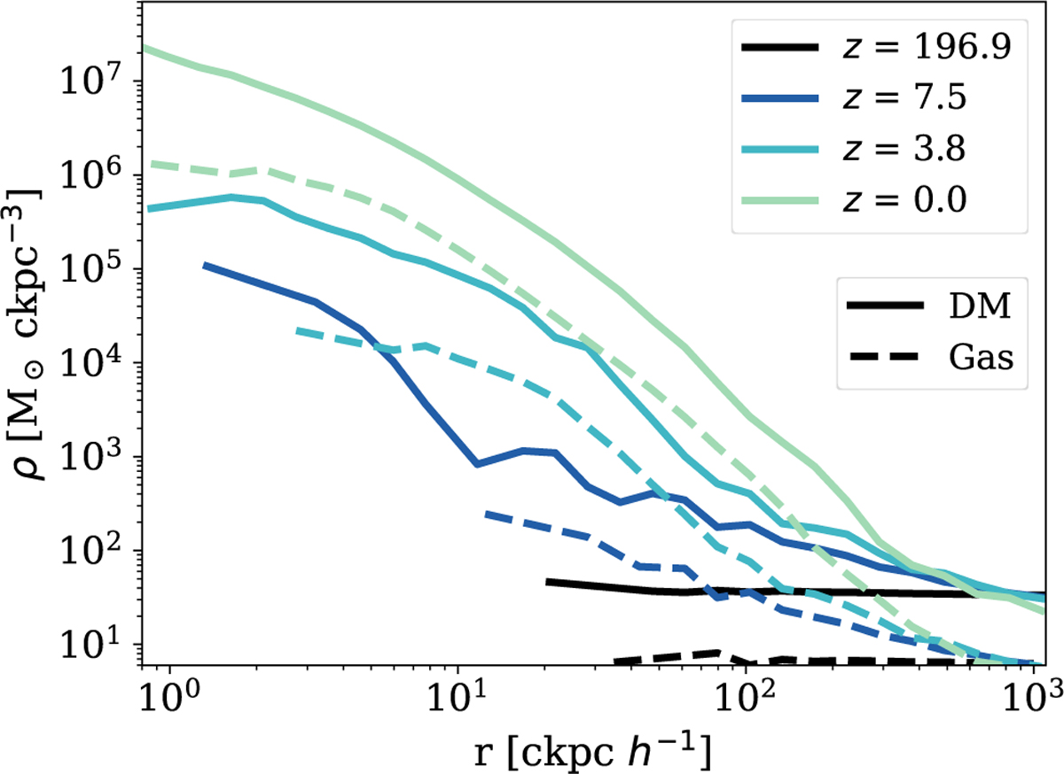
Density profile for a collapsing overdensity in the case of collisionless DM. The density is shown as a function of radius at several redshifts for DM (solid) and baryons (dashed). The density is not displayed for small radii where the particle number is too low to obtain a reliable value.

Current usage metrics show cumulative count of Article Views (full-text article views including HTML views, PDF and ePub downloads, according to the available data) and Abstracts Views on Vision4Press platform.

Data correspond to usage on the plateform after 2015. The current usage metrics is available 48-96 hours after online publication and is updated daily on week days.

Initial download of the metrics may take a while.