Open Access

Fig. 9

image

Download original image

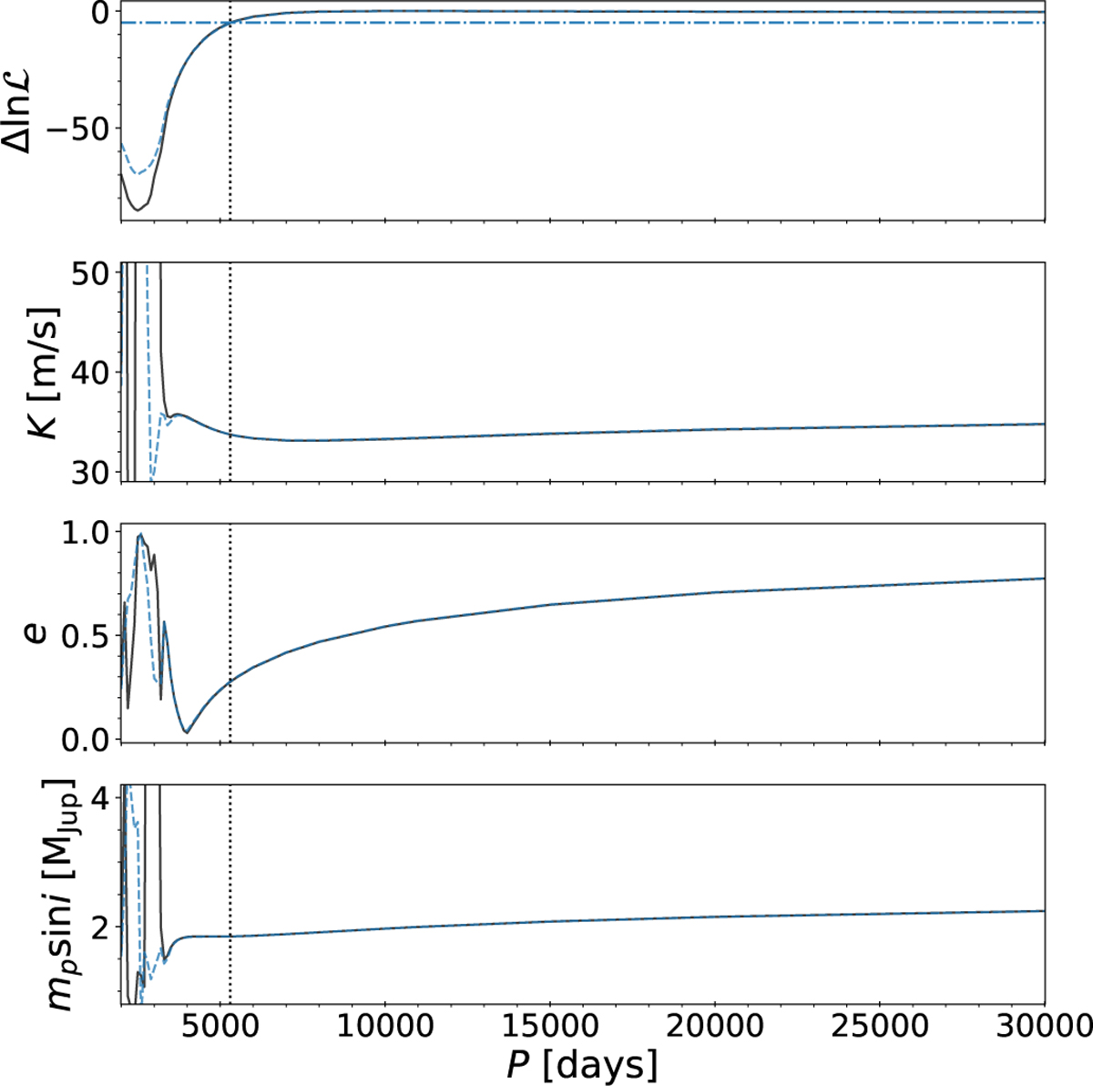
Parameters of the fits to the RV time series of GJ 508.2 as a function of the orbital period. The differential ln ℒ of the fit with respect to the maximum value, the fitted RV semi-amplitude and eccentricity, and the corresponding planet minimum mass are shown from top to bottom. Dahsed blue and solid black lines correspond, respectively, to fits considering only RVs from CARMENES VIS, and considering both VIS and NIR RVs simultaneously. The dot-dashed blue line in the top panel indicates the threshold corresponding to Δ ln ℒ=5, and the vertical dotted lines, the corresponding orbital period.

Current usage metrics show cumulative count of Article Views (full-text article views including HTML views, PDF and ePub downloads, according to the available data) and Abstracts Views on Vision4Press platform.

Data correspond to usage on the plateform after 2015. The current usage metrics is available 48-96 hours after online publication and is updated daily on week days.

Initial download of the metrics may take a while.