Open Access

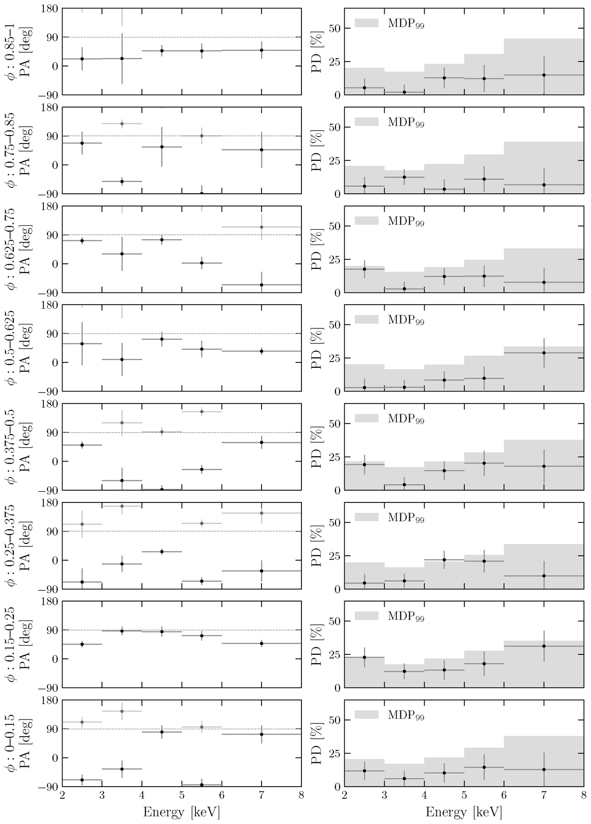
Fig. 8.

image

Download original image

Energy-resolved polarization measurements of the combined dataset across pulse phases. Left: PAs with 1σ uncertainties. Right: PDs. Gray bars indicate the MDP99 value. Note that we again plot the PAs with an added constant of 180° to illustrate the continuity of the PAs versus energy.

Current usage metrics show cumulative count of Article Views (full-text article views including HTML views, PDF and ePub downloads, according to the available data) and Abstracts Views on Vision4Press platform.

Data correspond to usage on the plateform after 2015. The current usage metrics is available 48-96 hours after online publication and is updated daily on week days.

Initial download of the metrics may take a while.