Open Access

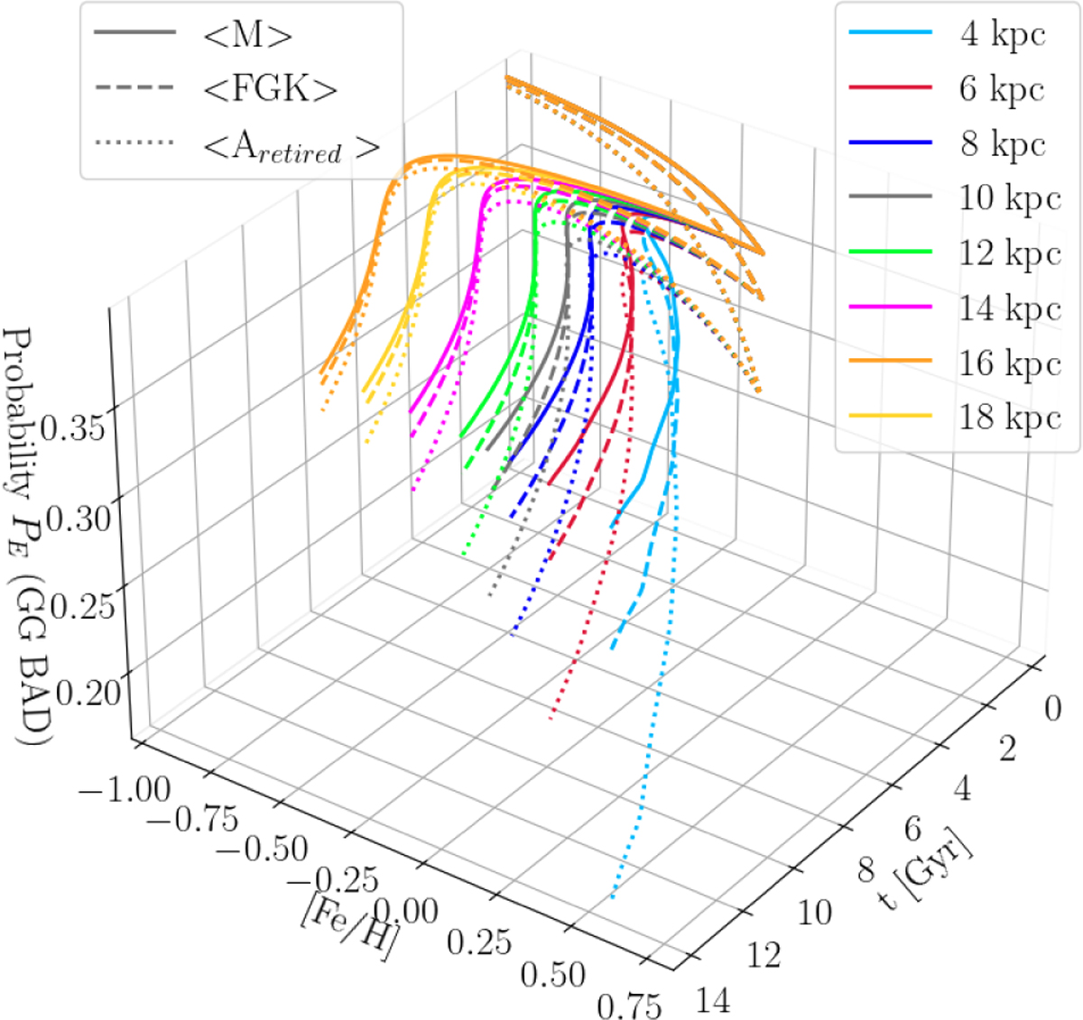
Fig. 3

image

Download original image

Evolution of the probability, PE, of forming Earth-like planets and not gas giants (the ‘GG BAD’ case illustrated in Eq. (6) and in Fig. 1), as predicted by our reference multi-zone chemical evolution model presented in Section 2.1 in the 3D space formed by the PE, [Fe/H] and evolutionary time t for different stellar types.

Current usage metrics show cumulative count of Article Views (full-text article views including HTML views, PDF and ePub downloads, according to the available data) and Abstracts Views on Vision4Press platform.

Data correspond to usage on the plateform after 2015. The current usage metrics is available 48-96 hours after online publication and is updated daily on week days.

Initial download of the metrics may take a while.