Open Access

Fig. 6

image

Download original image

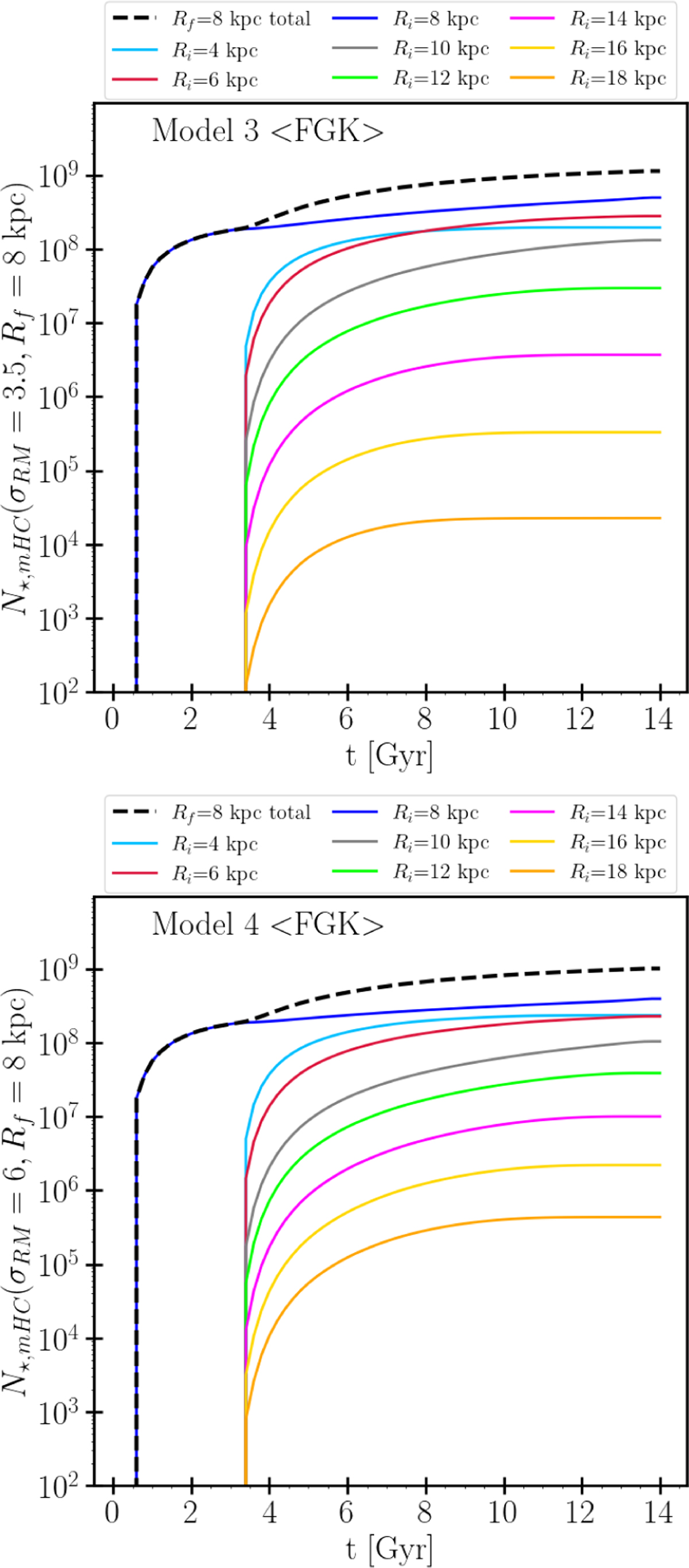
Temporal evolution of the total number of FGK stars hosting minimum conditions for life (N★,mHC) in the solar vicinity (black dashed lines). Both panels show the contribution from stars born in situ within the solar annulus (Ri = Rf = 8 kpc, dark blue lines) as well as those migrating from different Galactic regions (RiRf). We consider the case 2 SN destruction scenario in the presence of stellar migration, with radial migration strength of σRM = 3.5 kpc (model 3, upper panel) and σRM = 6 kpc (model 4, lower panel), respectively.

Current usage metrics show cumulative count of Article Views (full-text article views including HTML views, PDF and ePub downloads, according to the available data) and Abstracts Views on Vision4Press platform.

Data correspond to usage on the plateform after 2015. The current usage metrics is available 48-96 hours after online publication and is updated daily on week days.

Initial download of the metrics may take a while.