Open Access

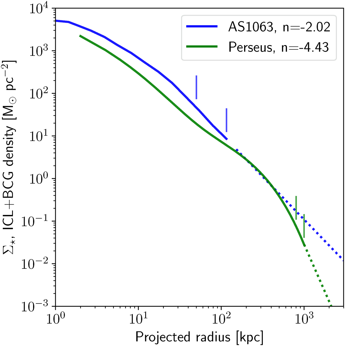
Fig. 2.

image

Download original image

Projected density profiles of the ICL + BCG for AS1063 (blue, Montes & Trujillo 2018) and Perseus (green, Kluge et al. 2025). The profiles are extrapolated (dotted line) at large radii following the logarithmic slope in the regions marked with vertical lines. The observations of Perseus by Euclid reach the outskirts of the cluster, where n ⪅ −3, and the extrapolated profiles do not produce unphysical massive clusters.

Current usage metrics show cumulative count of Article Views (full-text article views including HTML views, PDF and ePub downloads, according to the available data) and Abstracts Views on Vision4Press platform.

Data correspond to usage on the plateform after 2015. The current usage metrics is available 48-96 hours after online publication and is updated daily on week days.

Initial download of the metrics may take a while.