Open Access

Fig. 7

image

Download original image

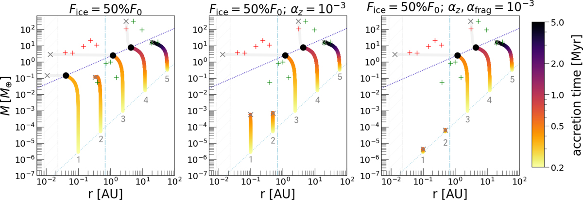
Possible role of the iceline in suppressing embryo growth in the inner disc. Growth tracks of a system of five planets logarithmically spaced between 0.1 and 60 AU in an irradiated disc, with colour-coded growth timescale. The left panel shows the effects of a 50% flux reduction across the iceline, the central panel shows the cumulative effect of flux reduction and increase in the vertical stirring of pebbles and finally the right panel shows the cumulative effect of flux reduction and increase in both vertical stirring and αfrag. The vertical light-blue line marks the position of the iceline, the dashed grey area the expanding inner magnetospheric cavity radius. The pebble isolation mass is indicated with a dotted purple line. The black dots mark the position at which the planets reach isolation mass, while the grey lines and crosses show the planet’s gas accretion and final mass and position respectively. The pebble flux reduction alone is not sufficient to prevent the inner embryo’s growth. Only by combining the effect with an increased vertical stirring and/or fragmentation turbulence the inner growth gets completely suppressed.

Current usage metrics show cumulative count of Article Views (full-text article views including HTML views, PDF and ePub downloads, according to the available data) and Abstracts Views on Vision4Press platform.

Data correspond to usage on the plateform after 2015. The current usage metrics is available 48-96 hours after online publication and is updated daily on week days.

Initial download of the metrics may take a while.