Open Access

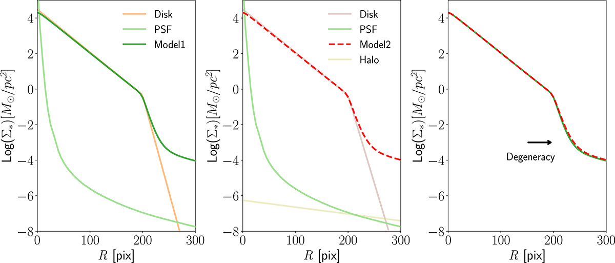
Fig. 3.

image

Download original image

Surface stellar mass density profiles of two simulated disks. Left: model1, consisting of a broken exponential disk only. Center: model2, similar to Model1, but with a steeper outer disk slope (h2) and a faint stellar halo. Right: comparison of the PSF-convolved profiles for both models.

Current usage metrics show cumulative count of Article Views (full-text article views including HTML views, PDF and ePub downloads, according to the available data) and Abstracts Views on Vision4Press platform.

Data correspond to usage on the plateform after 2015. The current usage metrics is available 48-96 hours after online publication and is updated daily on week days.

Initial download of the metrics may take a while.