Open Access

Fig. 2.

image

Download original image

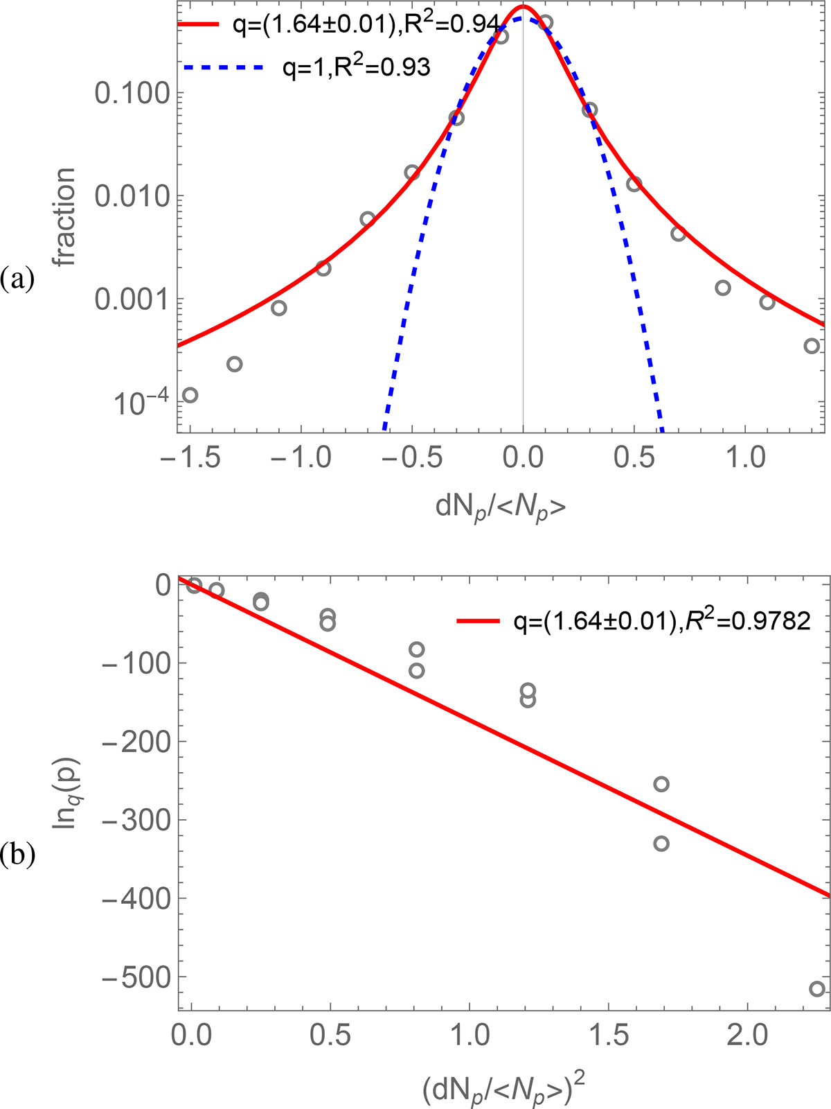
(a) PDFs of relative hourly changes in the proton density for the year 2022. The circles are the data points. The solid red curve is a nonlinear fit of the data with a q-Gaussian, and the dashed blue curve is a Gaussian distribution. (b) Linear correlation between lnq(p) and (dNp/⟨Np⟩)2. The red line is the best fit with qstat = 1.64 ± 0.01.

Current usage metrics show cumulative count of Article Views (full-text article views including HTML views, PDF and ePub downloads, according to the available data) and Abstracts Views on Vision4Press platform.

Data correspond to usage on the plateform after 2015. The current usage metrics is available 48-96 hours after online publication and is updated daily on week days.

Initial download of the metrics may take a while.