Open Access

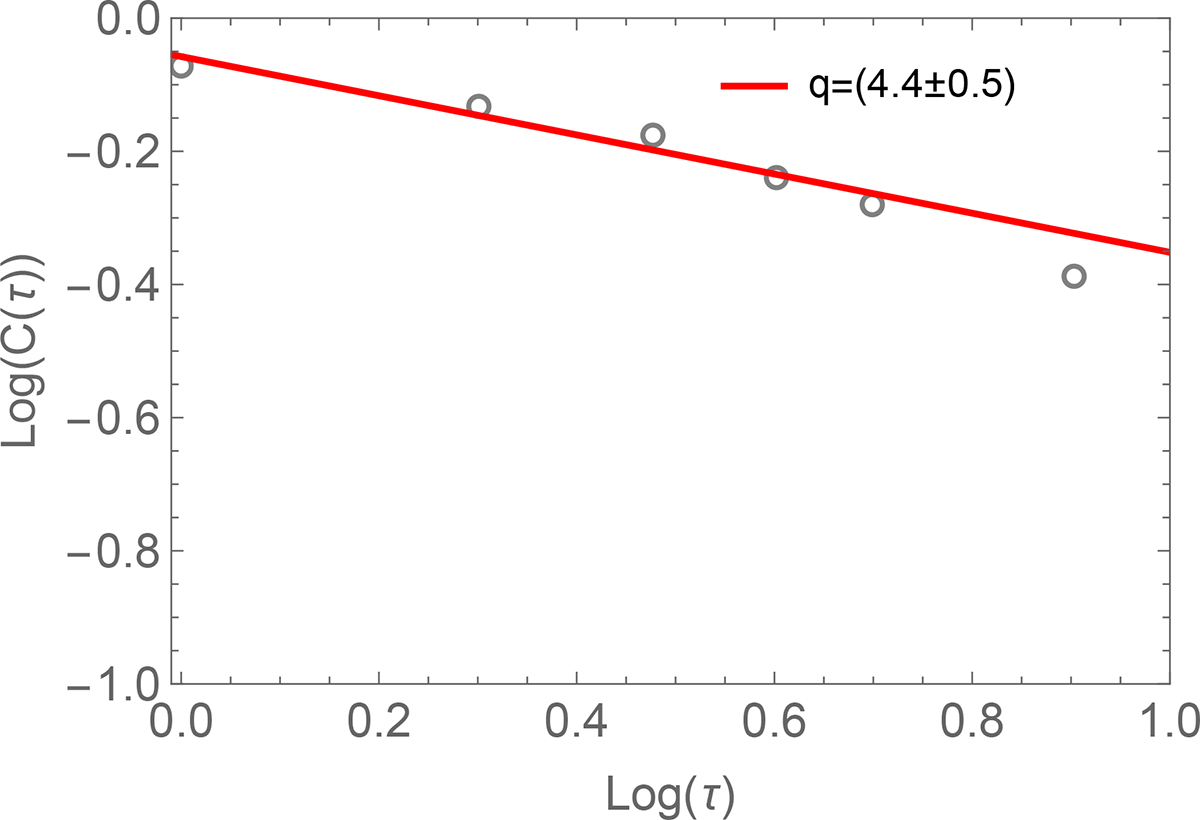
Fig. 3.

image

Download original image

Autocorrelation coefficient (C(τ)) vs. scale (τ) computed from hourly averages of proton density for the year 2022. The solid red line is the best fit to the first five data points with a q exponential (qrel) of 4.4 ± 0.5.

Current usage metrics show cumulative count of Article Views (full-text article views including HTML views, PDF and ePub downloads, according to the available data) and Abstracts Views on Vision4Press platform.

Data correspond to usage on the plateform after 2015. The current usage metrics is available 48-96 hours after online publication and is updated daily on week days.

Initial download of the metrics may take a while.