Open Access

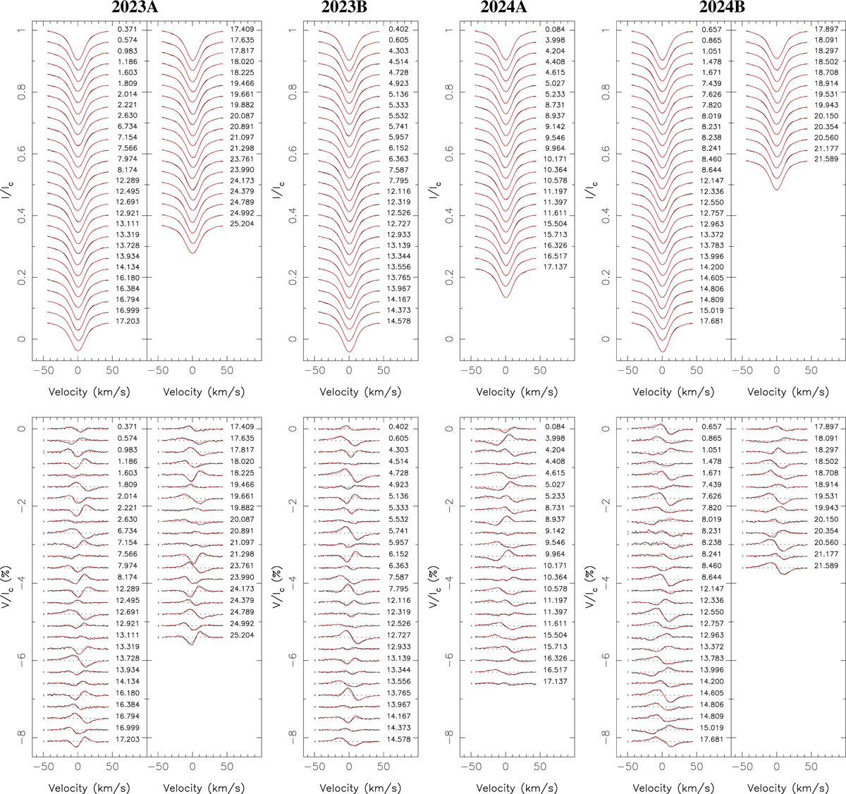
Fig. C.1

image

Download original image

Observed (thick black line) and modelled (thin red line) LSD Stokes I (top panels) and V (bottom panels) profiles of the photospheric lines of AU Mic, for subsets 2023A, 2023B, 2024A and 2024B (from left to right). The ZDI modeling of these profiles is described in Sec. 4. Rotation cycles (counting from 219, 244, 295 and 316 for 2023A, 2023B, 2024A and 2024B respectively, see Table A.1) are indicated to the right of all profiles, whereas ±1σ error bars are shown to the left of LSD Stokes V profiles.

Current usage metrics show cumulative count of Article Views (full-text article views including HTML views, PDF and ePub downloads, according to the available data) and Abstracts Views on Vision4Press platform.

Data correspond to usage on the plateform after 2015. The current usage metrics is available 48-96 hours after online publication and is updated daily on week days.

Initial download of the metrics may take a while.