Open Access

Fig. 2.

image

Download original image

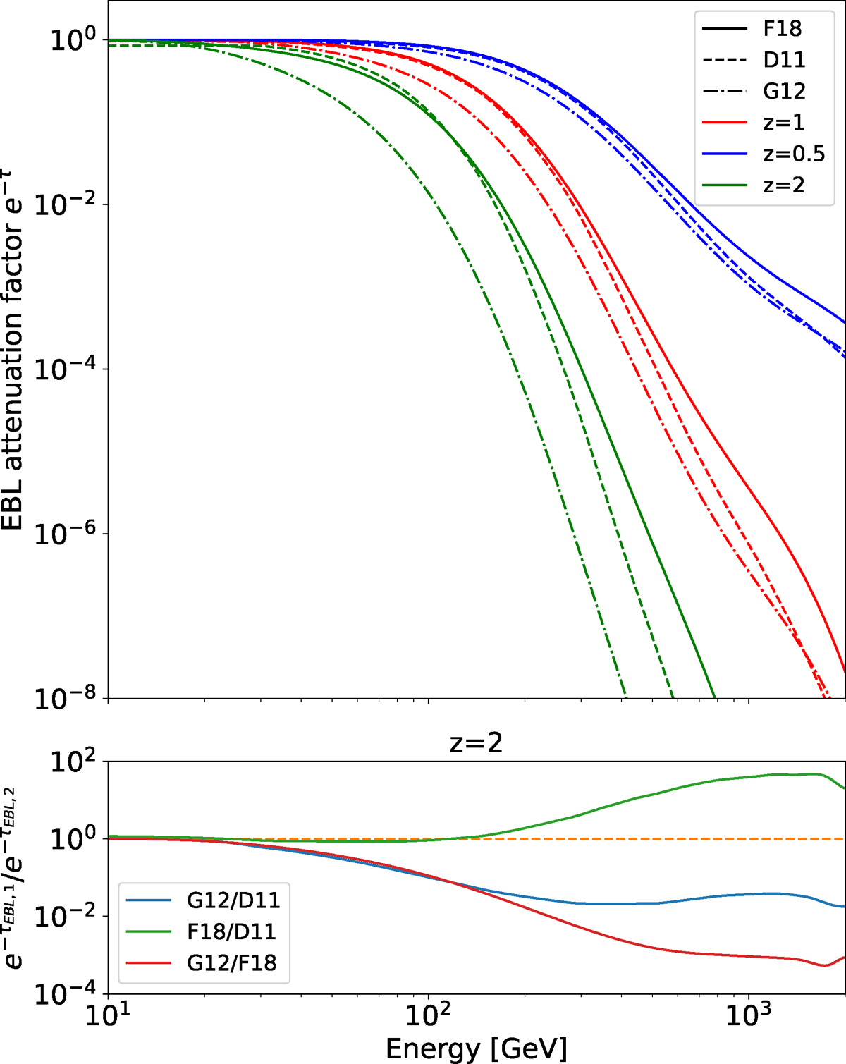
Top panel: EBL attenuation factor in the 0.1–10 TeV energy range for three different redshift values (z = 0.5, 1, and 2) and for the three different EBL models we used in this study: Domínguez et al. (2011) (D11), Franceschini & Rodighiero (2018) (F18), and Gilmore et al. (2012) (G12). Bottom panel: Ratio of the EBL attenuation factors for the three EBL models adopted in this study (D11, G12, and F18) at redshift z = 2.

Current usage metrics show cumulative count of Article Views (full-text article views including HTML views, PDF and ePub downloads, according to the available data) and Abstracts Views on Vision4Press platform.

Data correspond to usage on the plateform after 2015. The current usage metrics is available 48-96 hours after online publication and is updated daily on week days.

Initial download of the metrics may take a while.