Open Access

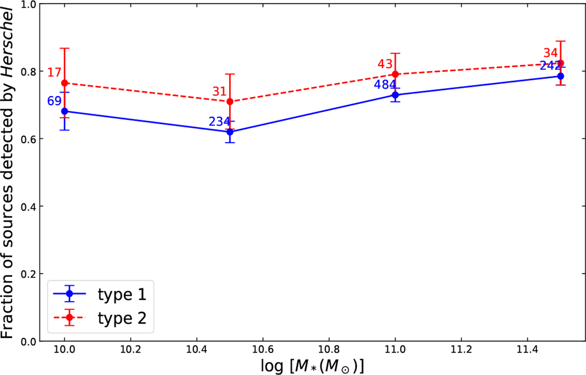
Fig. 10.

image

Download original image

Fraction of type 1 and 2 X-ray AGNs detected by Herschel as a function of stellar mass. Measurements are grouped in M* bins of size 0.5 dex. Error estimates were derived using bootstrap resampling. The total number of sources in each stellar mass bin is also displayed.

Current usage metrics show cumulative count of Article Views (full-text article views including HTML views, PDF and ePub downloads, according to the available data) and Abstracts Views on Vision4Press platform.

Data correspond to usage on the plateform after 2015. The current usage metrics is available 48-96 hours after online publication and is updated daily on week days.

Initial download of the metrics may take a while.