Open Access

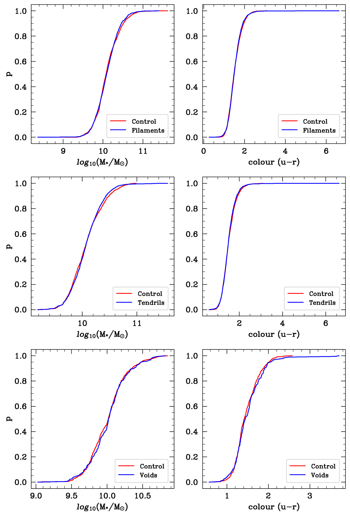
Fig. 2.

image

Download original image

From top to bottom, the Empirical Cumulative Distribution Function (ECDF) of the control sample of galaxies in filaments, tendrils and voids for stellar mass (left) and colour (right). The red line shows the control sample, and the blue line the problem sample.

Current usage metrics show cumulative count of Article Views (full-text article views including HTML views, PDF and ePub downloads, according to the available data) and Abstracts Views on Vision4Press platform.

Data correspond to usage on the plateform after 2015. The current usage metrics is available 48-96 hours after online publication and is updated daily on week days.

Initial download of the metrics may take a while.