Open Access

Fig. 5

image

Download original image

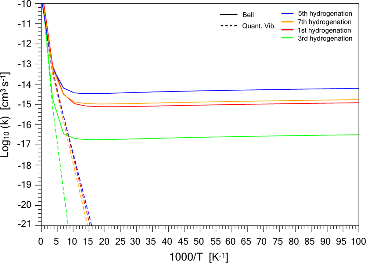
Arrhenius plot shows logarithm (base 10) of bimolecular rate constants (log10(k)), TST rate constants with zero-point energy correction (Quant. Vib.), and Bell tunneling correction (Bell) as a function of 1000 divided by the temperature in kelvin (1000/T), for the odd hydrogenation of indene.

Current usage metrics show cumulative count of Article Views (full-text article views including HTML views, PDF and ePub downloads, according to the available data) and Abstracts Views on Vision4Press platform.

Data correspond to usage on the plateform after 2015. The current usage metrics is available 48-96 hours after online publication and is updated daily on week days.

Initial download of the metrics may take a while.