Open Access

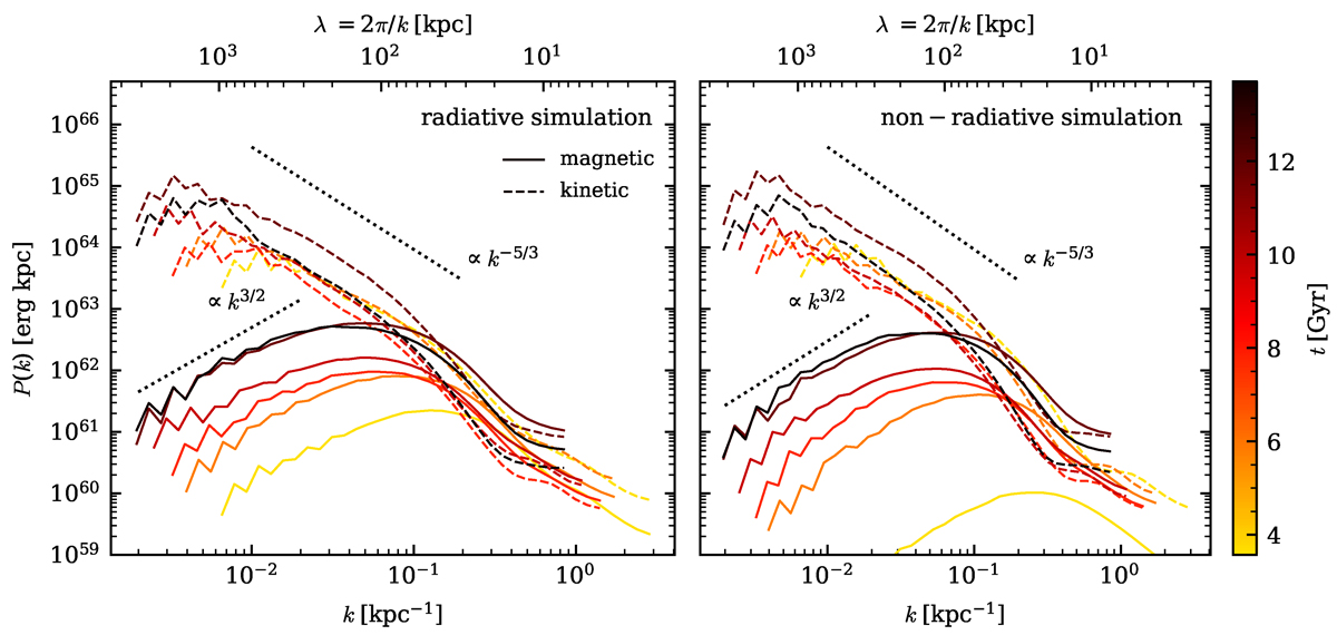
Fig. 11.

image

Download original image

Kinetic (dashed) and magnetic (solid) power spectra of Halo3 presented within a radius of 0.5R200 at six different cosmic times, t, that are equally spaced (3.6 Gyr < t < 13.7 Gyr with approximately 2 Gyr separation in between; this corresponds to 1.5 > z > 0) for both the radiative (left) and the non-radiative (right) simulations. These times correspond to our phase IV (defined in Fig. 2), where the small-scale dynamo operates in the ICM. This fluctuating dynamo amplifies the field ejected from galaxies and grows it in strength and correlation scale via turbulence injected by cluster merger events. This process also occurs in the non-radiative simulations, albeit at a much reduced level because in this model there is no galactic pre-processing of magnetic fields. Over time, the peak magnetic energy shifts to larger scales.

Current usage metrics show cumulative count of Article Views (full-text article views including HTML views, PDF and ePub downloads, according to the available data) and Abstracts Views on Vision4Press platform.

Data correspond to usage on the plateform after 2015. The current usage metrics is available 48-96 hours after online publication and is updated daily on week days.

Initial download of the metrics may take a while.