Open Access

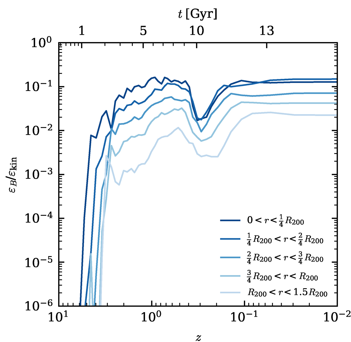
Fig. 13.

image

Download original image

Ratios of the magnetic-to-kinetic energy density in the ICM calculated by averaging within spherical shells for the radiative simulation of Halo3. The progressively lighter colors indicate radial shells that move to larger radii. The magnetic energy saturates at around 10% in the innermost bin. The constant ratios at low redshifts indicate dynamo activity, while the lower values in the outer radial bins are likely due to a higher proportion of bulk kinetic in comparison to turbulent energy, as well as weaker magnetic fields in lower-density gas (see text).

Current usage metrics show cumulative count of Article Views (full-text article views including HTML views, PDF and ePub downloads, according to the available data) and Abstracts Views on Vision4Press platform.

Data correspond to usage on the plateform after 2015. The current usage metrics is available 48-96 hours after online publication and is updated daily on week days.

Initial download of the metrics may take a while.