Open Access

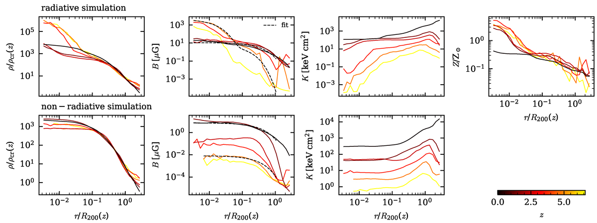
Fig. A.1.

image

Download original image

We present spherically averaged radial profiles of density, magnetic field, entropy and metallicity for the radiative (upper panel) and the non-radiative simulation (lower panel) of Halo3. We show 6 different redshifts spanning a range z = 0 − 6.5 and a radius 10−3R200 < r < R200. We fit double or single exponential profiles to all magnetic field profiles shown (see Table A.1) and depict two of them for both simulations, respectively (for z = 0 and 4.5, using dashed lines). The radiative simulation shows a similar evolution in all profiles: at high redshifts, core values are very high. With decreasing redshift, mergers and feedback processes distribute the enhanced core values over larger radii. Both, metallicity and magnetic fields are results of pre-processing from galaxies. The profiles of the magnetic field strength experience a stronger increase at the outer radii in comparison to the metallicity profiles, which shows that a dynamo is operating on top of the pre-processed gas.

Current usage metrics show cumulative count of Article Views (full-text article views including HTML views, PDF and ePub downloads, according to the available data) and Abstracts Views on Vision4Press platform.

Data correspond to usage on the plateform after 2015. The current usage metrics is available 48-96 hours after online publication and is updated daily on week days.

Initial download of the metrics may take a while.