Open Access

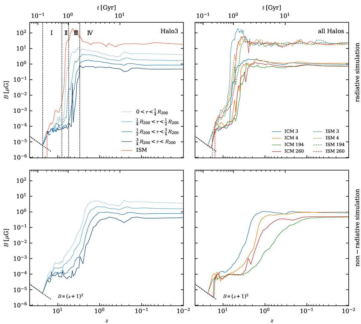
Fig. 2.

image

Download original image

Evolution of magnetic field strength (derived from volume-weighted magnetic energy densities) in radiative (upper panels) and non-radiative (lower panels) simulations within R200. The left panels focus on Halo3; the right panels show the magnetic field strength across four halos. The magnetic field amplification is faster in radiative simulations. Its evolution in the entire ICM closely mirrors that of the ISM across all 4 halos To show this in more detail, we mark 4 phases of magnetic field evolution in the radiative simulation of Halo3: I) the collapse of the first galaxies, II) the amplification in the BCG, III) the amplification in the host cluster by mergers that contribute their magnetically pre-enriched gas to the host halo, IV) low redshift mergers that constantly inject turbulence, which drives a fluctuating small-scale dynamo.

Current usage metrics show cumulative count of Article Views (full-text article views including HTML views, PDF and ePub downloads, according to the available data) and Abstracts Views on Vision4Press platform.

Data correspond to usage on the plateform after 2015. The current usage metrics is available 48-96 hours after online publication and is updated daily on week days.

Initial download of the metrics may take a while.