Open Access

Fig. 6.

image

Download original image

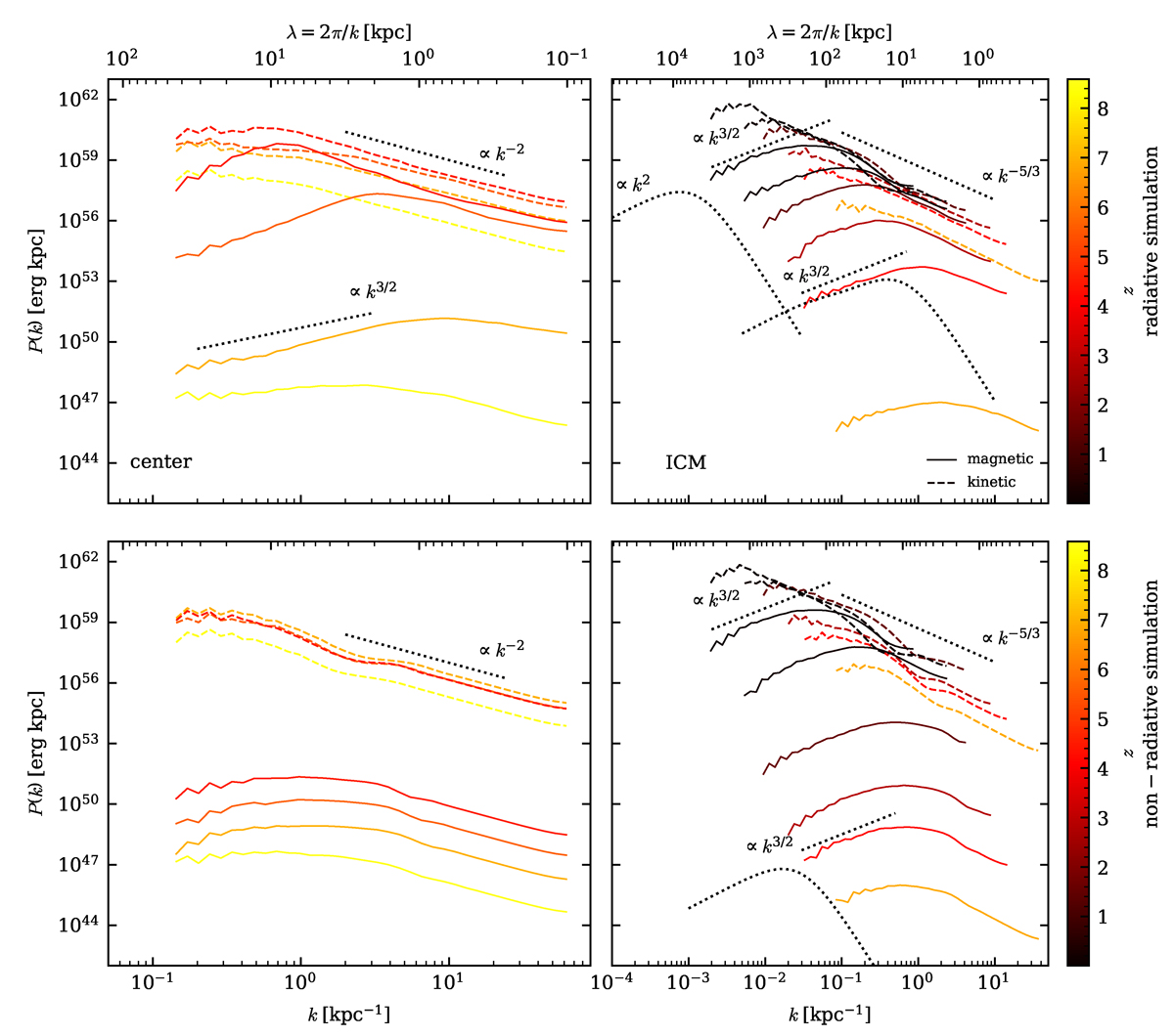
Kinetic (dashed) and magnetic (solid) power spectra of Halo3. The left panels show the power spectra in the central regions within a fixed physical radius of R200(z = 9) = 20 kpc for four different redshifts (z = 4.5, 5.5, 7, 8.5) for both the radiative (upper) and the non-radiative (lower) simulations aimed at tracing the high-redshift dynamo in the BCG. The right panels show the ICM power spectra within 0.5R200(z), excluding the central 20 kpc, at six different redshifts (z = 0, 1.5, 2.5, 3.5, 4.5, 6.5) focusing on dynamo activity in the ICM within the radiative and non-radiative simulations. Dotted lines illustrate different scaling behaviors (see text). The left panels show that a small-scale dynamo (with the Kazantsev scaling ∝k3/2) driven by compressive Burgers turbulence (∝k−2) is only active in the central regions of the radiative simulation. By contrast, the right panels show the existence of a small-scale dynamo driven by incompressible turbulence (∝k−5/3) throughout the entire ICM within 0.5R200 in both simulations, albeit at a faster rate in the radiative simulation. The contribution of a Lorentzian profile, which we show for z = 4.5 in both simulations and additionally z = 0 in the radiative simulation (it scales as ∝k2 on scales larger than the scale height), at lower redshifts is minimal because the sharp cutoff at the characteristic exponential scale is located at rather large scales.

Current usage metrics show cumulative count of Article Views (full-text article views including HTML views, PDF and ePub downloads, according to the available data) and Abstracts Views on Vision4Press platform.

Data correspond to usage on the plateform after 2015. The current usage metrics is available 48-96 hours after online publication and is updated daily on week days.

Initial download of the metrics may take a while.