Open Access

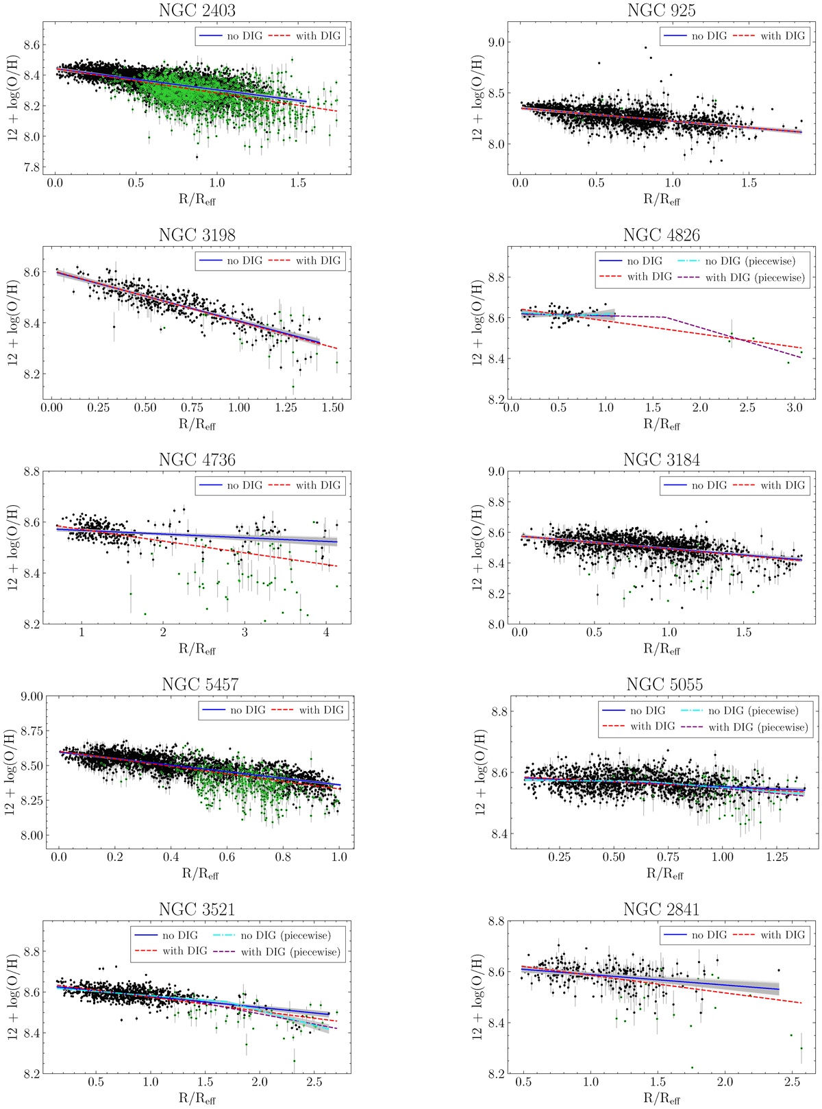
Fig. G.2.

image

Download original image

Same as Figures 4 and G.1, but showing a third part of the sample. Effective radii in the NUV band are used. NGC 4826, NGC 5055 and NGC 3521 have been additionally fitted with a piecewise linear function.

Current usage metrics show cumulative count of Article Views (full-text article views including HTML views, PDF and ePub downloads, according to the available data) and Abstracts Views on Vision4Press platform.

Data correspond to usage on the plateform after 2015. The current usage metrics is available 48-96 hours after online publication and is updated daily on week days.

Initial download of the metrics may take a while.