Open Access

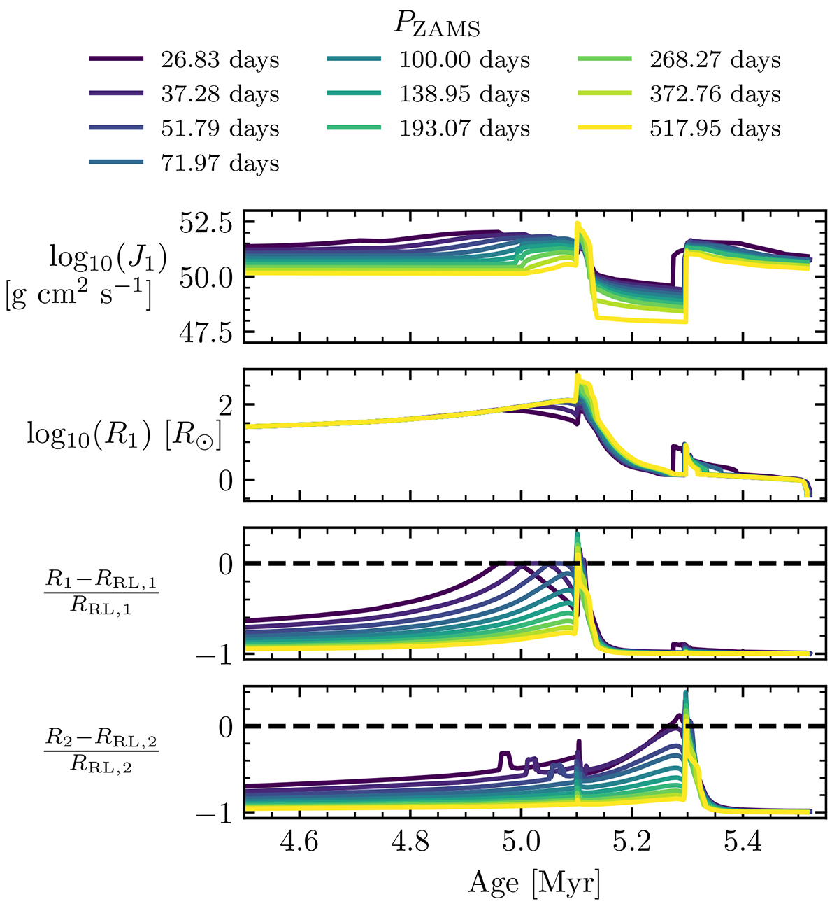
Fig. A.1.

image

Download original image

Evolution of stable reverse-mass-transfer systems with MZAMS, 1 ≈ 39.87 and q = 0.95 and different initial periods, including the first mass transfer and reverse phase. The rows from top to bottom show: the total angular momentum in the primary star, the radius of the primary star, and finally the relative Roche lobe filling factor of the primary and secondary. The colour map indicates the initial period at the zero-age main-sequence, with blue indicating the tightest and yellow the widest systems. The horizontal dashed black lines indicate when the star fills its Roche lobe.

Current usage metrics show cumulative count of Article Views (full-text article views including HTML views, PDF and ePub downloads, according to the available data) and Abstracts Views on Vision4Press platform.

Data correspond to usage on the plateform after 2015. The current usage metrics is available 48-96 hours after online publication and is updated daily on week days.

Initial download of the metrics may take a while.