Open Access

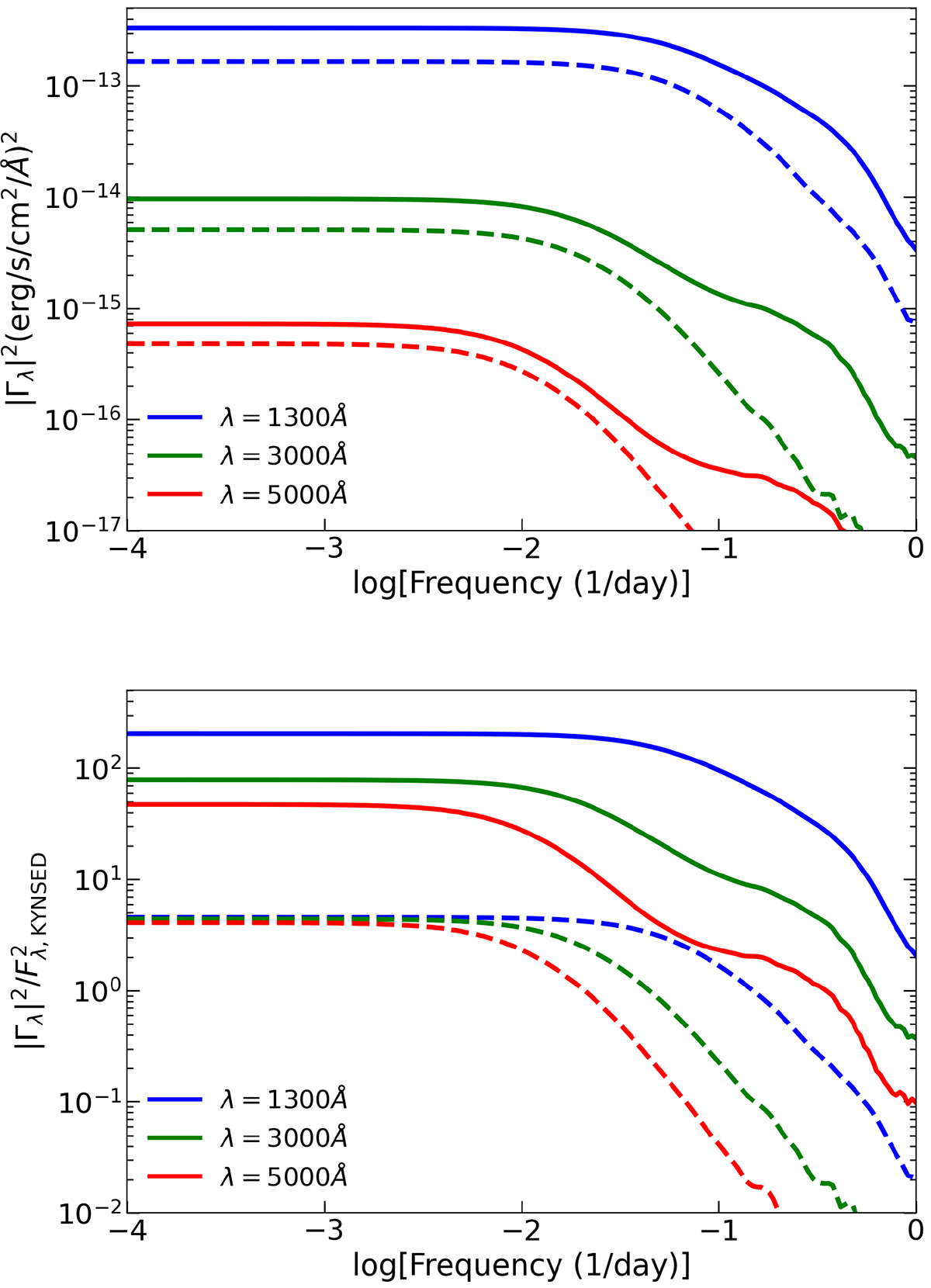
Fig. 1.

image

Download original image

Transfer functions |Γλ(ν)|2 (top panel) and normalised transfer functions |Γλ, norm(ν)|2 (bottom panel) in three wavebands: λ = 1300 Å (blue line), λ = 3000 Å (green line), and λ = 5000 Å (red line). The solid lines correspond to the case of an accretion-powered corona (case A) with Ltransf/Ldisc = 0.5 and the dashed lines to an externally powered corona (case B) with Ltransf/Ldisc = −0.5. The fiducial parameters are: MBH = 8 × 108M, Edd = 0.1, h = 20, Γ = 2, θ = 30°, Ecut = 150 keV, fcol = 1.7, Rout = 5000Rg, and α* = 0.

Current usage metrics show cumulative count of Article Views (full-text article views including HTML views, PDF and ePub downloads, according to the available data) and Abstracts Views on Vision4Press platform.

Data correspond to usage on the plateform after 2015. The current usage metrics is available 48-96 hours after online publication and is updated daily on week days.

Initial download of the metrics may take a while.