Open Access

Fig. 5.

image

Download original image

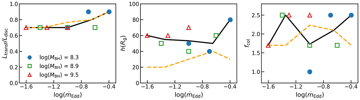
Best-fit results in the case A corona. The α* = 0 best-fitting Ltransf/Ldisc (left panel), h (middle panel), and fcol (right panel) are plotted as a function of Edd for log MBH = 8.3 (blue circle points), log MBH = 8.9 (green square points), and log MBH = 9.5 (red triangle points). Black lines show how the best-fit parameters change with the accretion rate (we bin points that have similar accretion rates) for the α* = 0 models. The dashed orange lines correspond to the α* = 0.7 models.

Current usage metrics show cumulative count of Article Views (full-text article views including HTML views, PDF and ePub downloads, according to the available data) and Abstracts Views on Vision4Press platform.

Data correspond to usage on the plateform after 2015. The current usage metrics is available 48-96 hours after online publication and is updated daily on week days.

Initial download of the metrics may take a while.