Open Access

Fig. A.1.

image

Download original image

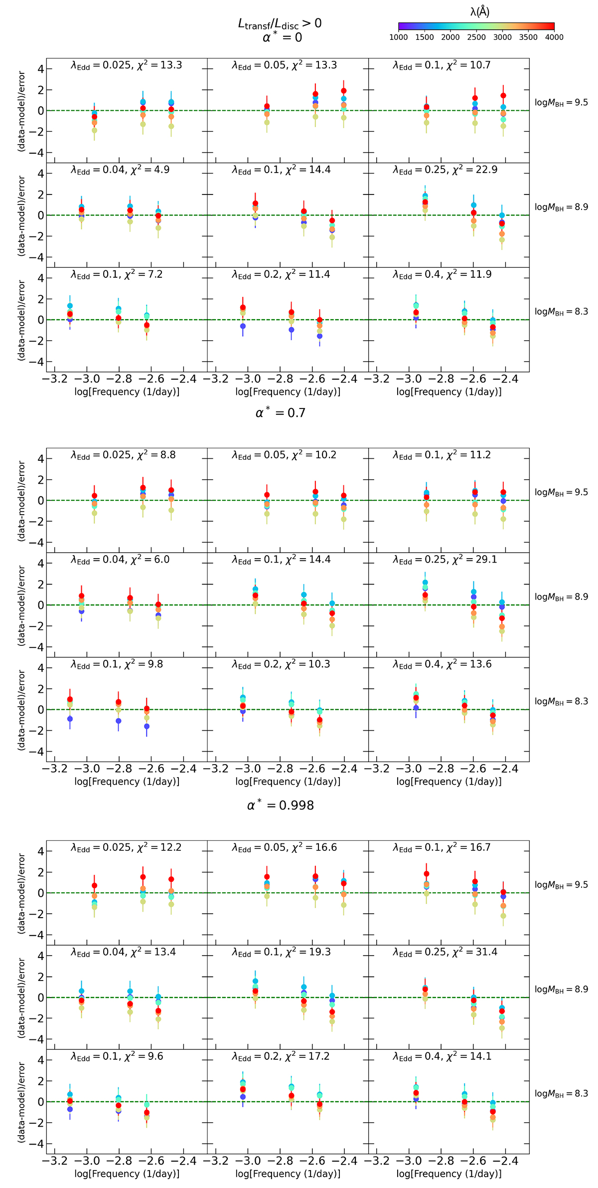
The best-fit residuals (i.e. (data-model)/error) for the case where the corona is powered from the accretion power of the disc (Ltransf/Ldisc > 0). The top, middle, and bottom panels correspond to the BH spin cases α* = 0, 0.7, 0.998, respectively. The plots in the left, middle and right columns of each panel correspond to the different accretion rate cases, while the plots in the bottom, middle, and top rows to the BH masses log MBH = 8.3, 8.9, 9.5 respectively. The different coloured points indicate the residuals of the fits to the 6 wavelengths of Table 1.

Current usage metrics show cumulative count of Article Views (full-text article views including HTML views, PDF and ePub downloads, according to the available data) and Abstracts Views on Vision4Press platform.

Data correspond to usage on the plateform after 2015. The current usage metrics is available 48-96 hours after online publication and is updated daily on week days.

Initial download of the metrics may take a while.