Open Access

Fig. 5

image

Download original image

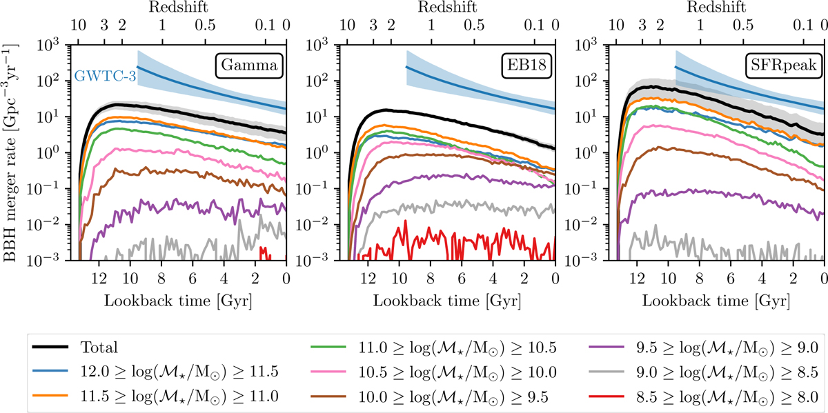
BBH merger rate density in FIREbox estimated from the results of our cluster sampling algorithms (model ‘Gamma’, ‘EB18’, and ‘SFRpeak’ presented from left to right respectively) combined with predictions of the 3D grid of massive clusters integrated with CMC. A re-weighting factor corresponding to the halo mass of the host galaxy (see Sect. 2.1) is applied to each BBH obtained. Different colours indicate the contribution of galaxies grouped in different bins of stellar mass. The black solid line shows the mean total merger rate density obtained from 20 different random realisations, and the grey shaded area is the 90% credible interval. The blue shape shows the evolution of the BBH merger rate density with redshift as reported by the LVK Collaboration in Abbott et al. (2023a).

Current usage metrics show cumulative count of Article Views (full-text article views including HTML views, PDF and ePub downloads, according to the available data) and Abstracts Views on Vision4Press platform.

Data correspond to usage on the plateform after 2015. The current usage metrics is available 48-96 hours after online publication and is updated daily on week days.

Initial download of the metrics may take a while.