Open Access

Fig. B.1

image

Download original image

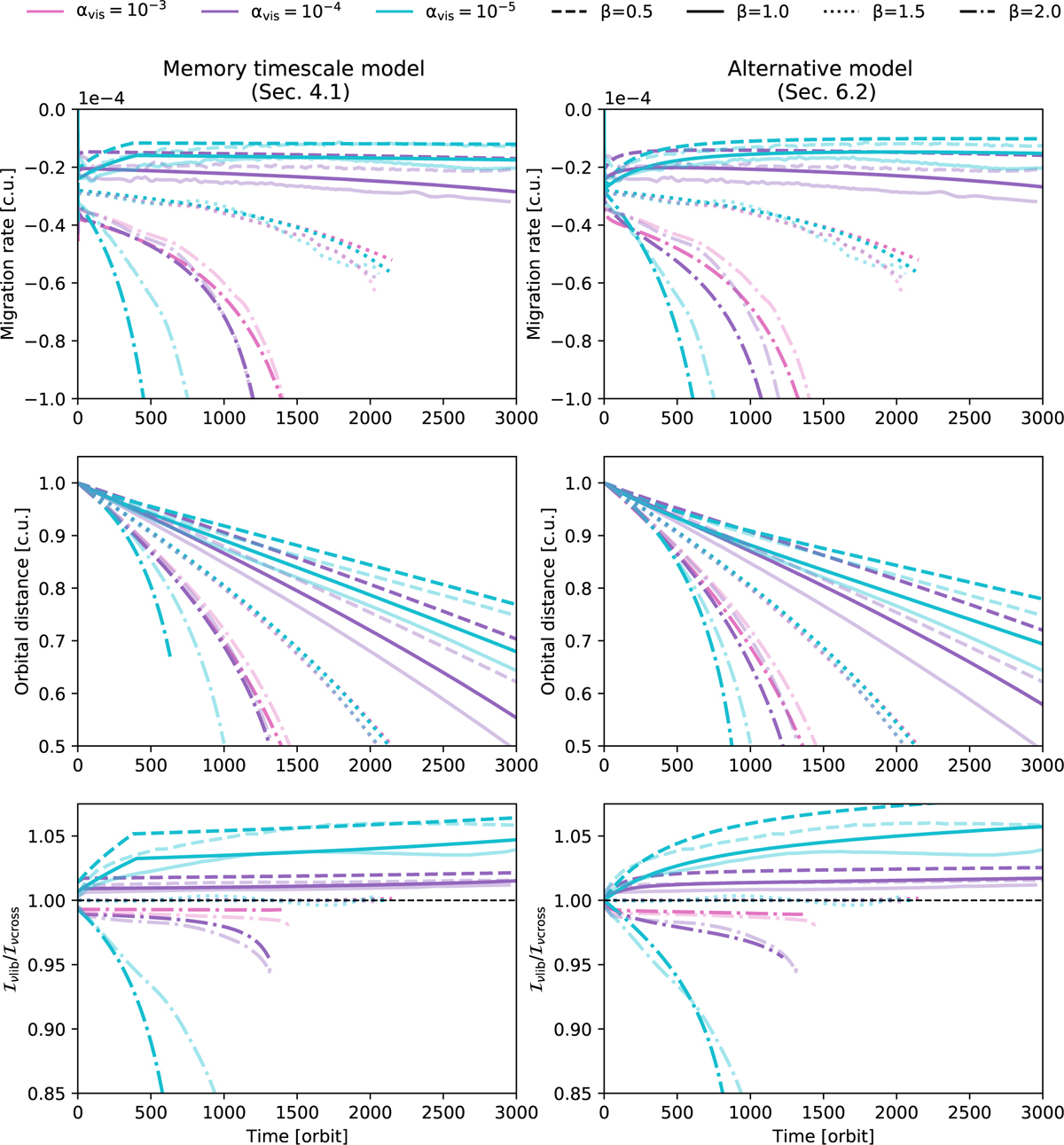
Overlay of 2D and 1D simulations results from Fig. 2 (memory timescale model of Section 4.1, left column) and Fig. 7 (alternative model of Section 6.2, right column). Rows are the same as in Fig. 2. Opaque lines display 1D simulations results, whereas transparent lines show the results of 2D hydrodynamical simulations. Cases with αvis = 10–3 are only shown for β ≥ 1.5 to make plots less crowded.

Current usage metrics show cumulative count of Article Views (full-text article views including HTML views, PDF and ePub downloads, according to the available data) and Abstracts Views on Vision4Press platform.

Data correspond to usage on the plateform after 2015. The current usage metrics is available 48-96 hours after online publication and is updated daily on week days.

Initial download of the metrics may take a while.