Open Access

Fig. D.1

image

Download original image

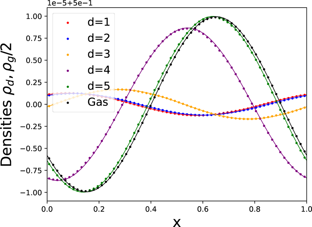
Densities at t = 0.2 (which corresponds to ~ 0.5 crossing time of the wave) of the five dust species and of the gas (divided by 2) along with the eigenmode described in Table D.1. Dots are the numerical solutions. Continuous lines are the linear solutions. The time step is divided by a factor of 10 (CCFL = 0.1) to achieve the convergence in time for this resolution (level 6, 64 points).

Current usage metrics show cumulative count of Article Views (full-text article views including HTML views, PDF and ePub downloads, according to the available data) and Abstracts Views on Vision4Press platform.

Data correspond to usage on the plateform after 2015. The current usage metrics is available 48-96 hours after online publication and is updated daily on week days.

Initial download of the metrics may take a while.