Open Access

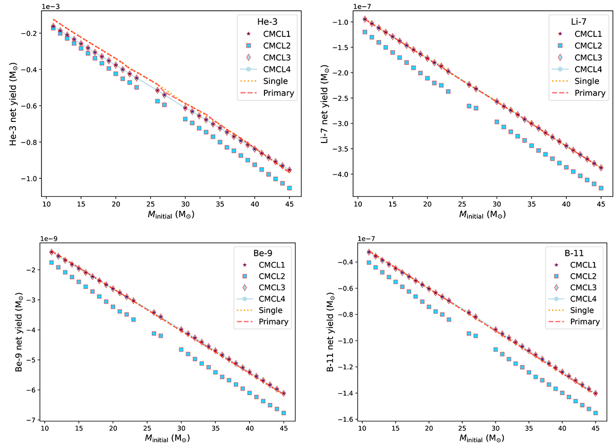
Fig. 3.

image

Download original image

Net yields for He-3, Li-7, Be-9, and B-11. Effective yields computed for h = 0.5, βwinds = 0.1, βRLOF = 1, and βSN = 0.05 are shown in shades of blue. The dashed lines present the net yields of each isotope for the reported single star (orange) and the reported primary star (red) for comparison.

Current usage metrics show cumulative count of Article Views (full-text article views including HTML views, PDF and ePub downloads, according to the available data) and Abstracts Views on Vision4Press platform.

Data correspond to usage on the plateform after 2015. The current usage metrics is available 48-96 hours after online publication and is updated daily on week days.

Initial download of the metrics may take a while.