Open Access

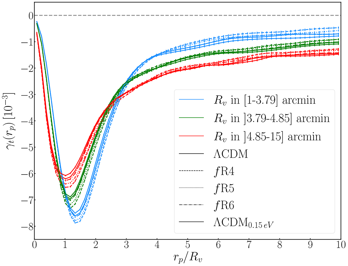
Fig. 11.

image

Download original image

Stacked tangential shear profiles of all the analyzed cosmologies, divided into subsamples of voids with different sizes. The split of the void sample is the same as presented in Fig. 10 and is used to distinguish voids of small (blue), medium (green), and large (red) sizes. The results for different cosmologies are shown using different line styles, as reported in the legend.

Current usage metrics show cumulative count of Article Views (full-text article views including HTML views, PDF and ePub downloads, according to the available data) and Abstracts Views on Vision4Press platform.

Data correspond to usage on the plateform after 2015. The current usage metrics is available 48-96 hours after online publication and is updated daily on week days.

Initial download of the metrics may take a while.