Open Access

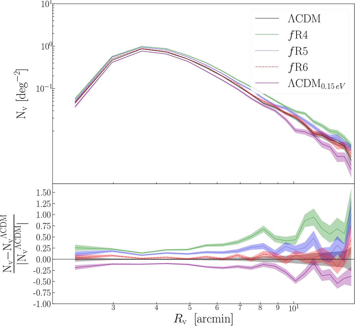
Fig. 8.

image

Download original image

Top panel: Average void size functions, per degree squared, of 2D WL voids from 256 light-cone random realizations with redshift zs = 1, for the different analyzed models: ΛCDM (black), fR4 (green), fR5 (blue), fR6 (red), and ΛCDM0.15 eV (purple). Bottom panel: Corresponding residuals computed with respect to the ΛCDM model. In both panels, the shaded regions of the same colors around the curves indicate errors, computed as the standard deviation of counts in each bin divided by the number of maps.

Current usage metrics show cumulative count of Article Views (full-text article views including HTML views, PDF and ePub downloads, according to the available data) and Abstracts Views on Vision4Press platform.

Data correspond to usage on the plateform after 2015. The current usage metrics is available 48-96 hours after online publication and is updated daily on week days.

Initial download of the metrics may take a while.