Open Access

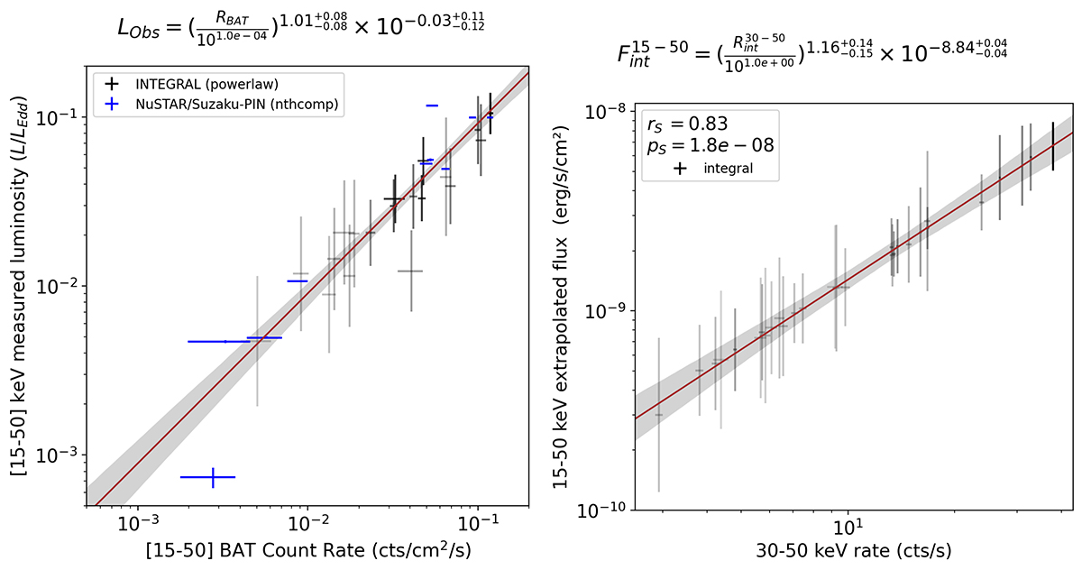
Fig. B.1.

image

Download original image

(Left) Luminosity of the source in the [15-50] keV band in Eddington units, using BAT flux values estimated via WEBPIMMS, compared to actual measurements from INTEGRAL, Suzaku and NuSTAR datasets. (Right) INTEGRAL 30-50 count rates versus 15-50 keV projected fluxes in observations of sufficiently high S/N to perform a fit. Uncertainties on both linear regression regions and coefficients are quoted at a 1 σ confidence level.

Current usage metrics show cumulative count of Article Views (full-text article views including HTML views, PDF and ePub downloads, according to the available data) and Abstracts Views on Vision4Press platform.

Data correspond to usage on the plateform after 2015. The current usage metrics is available 48-96 hours after online publication and is updated daily on week days.

Initial download of the metrics may take a while.