Open Access

Fig. 5.

image

Download original image

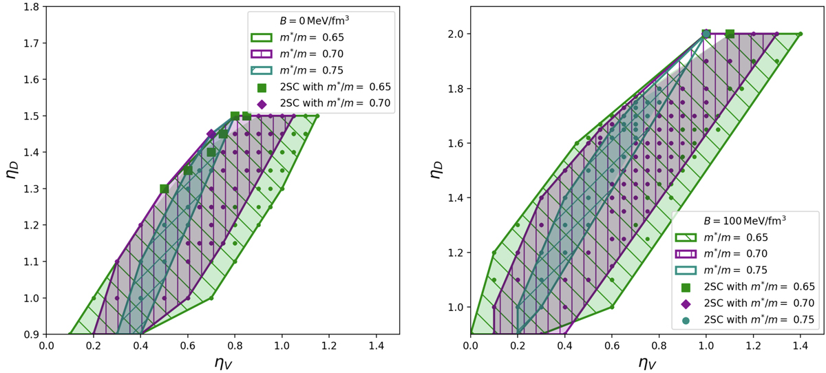
Constrained parameter space for varied effective masses with the quark phase at the point of the hadron-quark phase transition indicated. The shaded area represents where a transition to the CFL phase is possible for a parameter set containing the effective mass corresponding to the color of the region. The green square marker indicates where at least one hadronic parameter set with m*/m = 0.65 exhibits a phase transition to the 2SC phase. Likewise, the purple diamond marker represents a 2SC transition for m*/m = 0.70 and the teal circle for m*/m = 0.75. The small circles represent the investigated ηV − ηD combinations within the constraint. The left side of the figure is for B = 0 MeV/fm3, the right side for B = 100 MeV/fm3.

Current usage metrics show cumulative count of Article Views (full-text article views including HTML views, PDF and ePub downloads, according to the available data) and Abstracts Views on Vision4Press platform.

Data correspond to usage on the plateform after 2015. The current usage metrics is available 48-96 hours after online publication and is updated daily on week days.

Initial download of the metrics may take a while.