Open Access

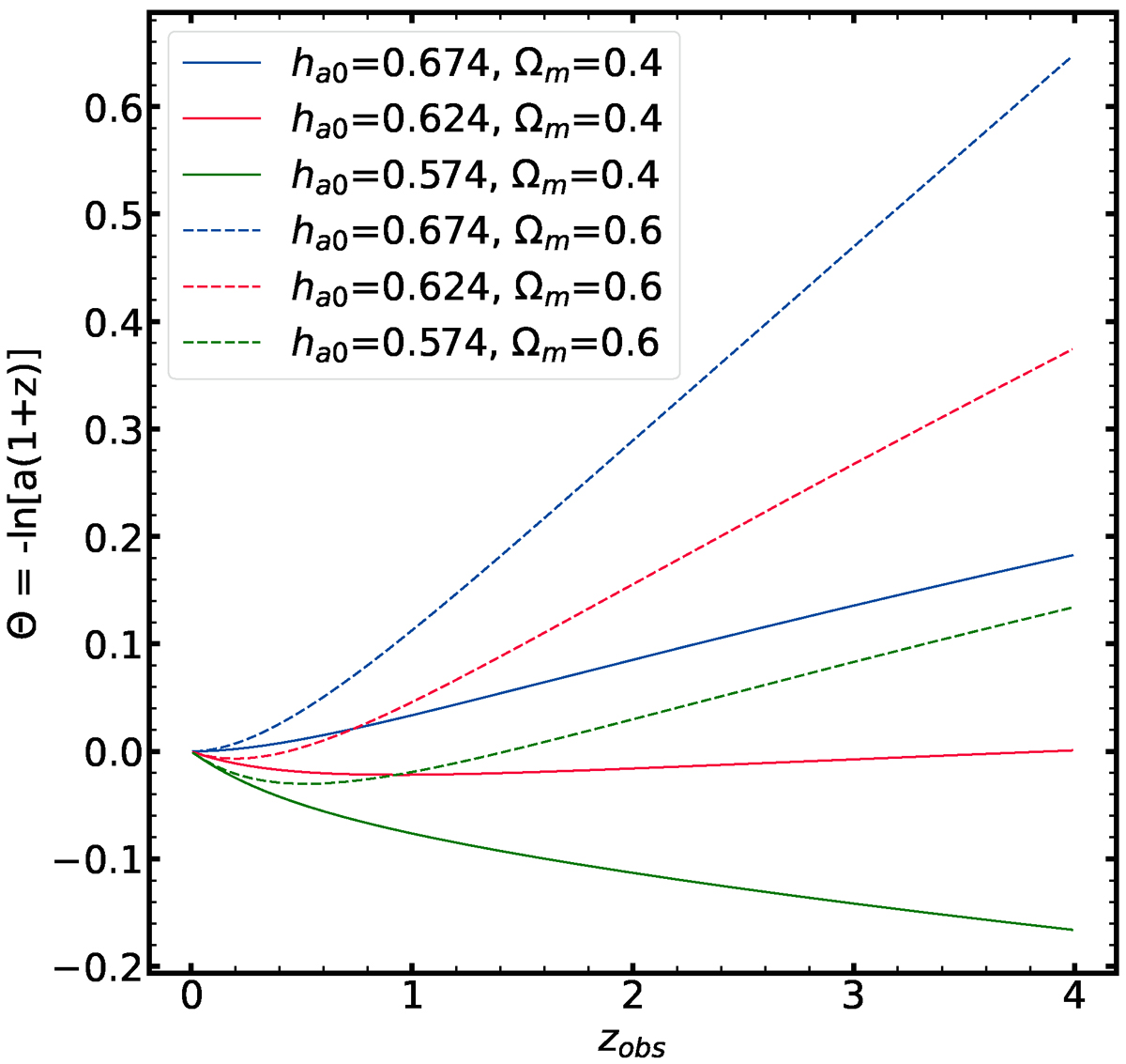
Fig. 1.

image

Download original image

Redshift evolution of the CSF, Θ, for a range of models with different matter density parameters, Ωm, and the Hubble constant H0 = h100 kms−1 Mpc−1. All models recover distances and observed expansion history in the Planck cosmological model with Ωm = 0.315 and H0 = 67.4 kms−1 Mpc−1.

Current usage metrics show cumulative count of Article Views (full-text article views including HTML views, PDF and ePub downloads, according to the available data) and Abstracts Views on Vision4Press platform.

Data correspond to usage on the plateform after 2015. The current usage metrics is available 48-96 hours after online publication and is updated daily on week days.

Initial download of the metrics may take a while.