Open Access

Fig. 5.

image

Download original image

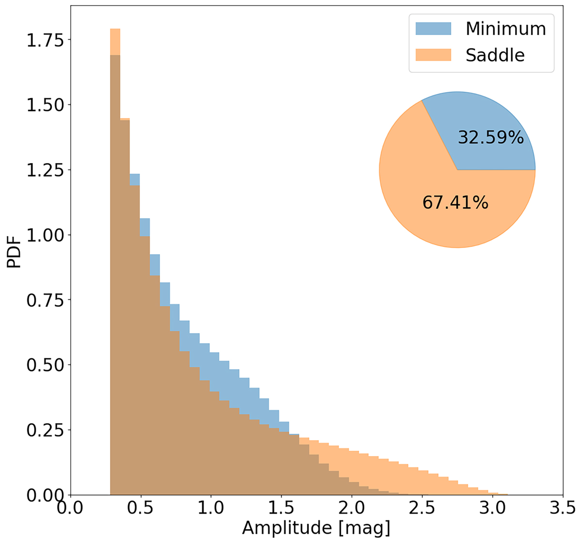
Amplitude of all HMEs per image parity. We note that the larger amplitudes in saddle images are due to their magnification maps having deeper de-magnification regions.

Current usage metrics show cumulative count of Article Views (full-text article views including HTML views, PDF and ePub downloads, according to the available data) and Abstracts Views on Vision4Press platform.

Data correspond to usage on the plateform after 2015. The current usage metrics is available 48-96 hours after online publication and is updated daily on week days.

Initial download of the metrics may take a while.