Open Access

Fig. 6.

image

Download original image

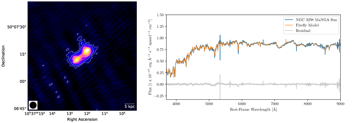
Left: LOFAR 144 MHz image of NGC 3298 produced using International Stations (IS). The beam (shown in the inset) is 3.5″ × 3.5″, and the rms noise is ∼200 μJy beam−1. Contours are at 3, 6, 12, 24, 48 × rms. Right: SDSS MaNGA IFU flux data of NGC 3298. The observed flux (blue line) is the mean of all spaxels with S/N > 15 and is shown with the best fit Firefly model (orange line) with the MaStar stellar library (see Sect. 2.2). The residuals (grey line) show only minor, non-systematic differences.

Current usage metrics show cumulative count of Article Views (full-text article views including HTML views, PDF and ePub downloads, according to the available data) and Abstracts Views on Vision4Press platform.

Data correspond to usage on the plateform after 2015. The current usage metrics is available 48-96 hours after online publication and is updated daily on week days.

Initial download of the metrics may take a while.