Open Access

Fig. 2

image

Download original image

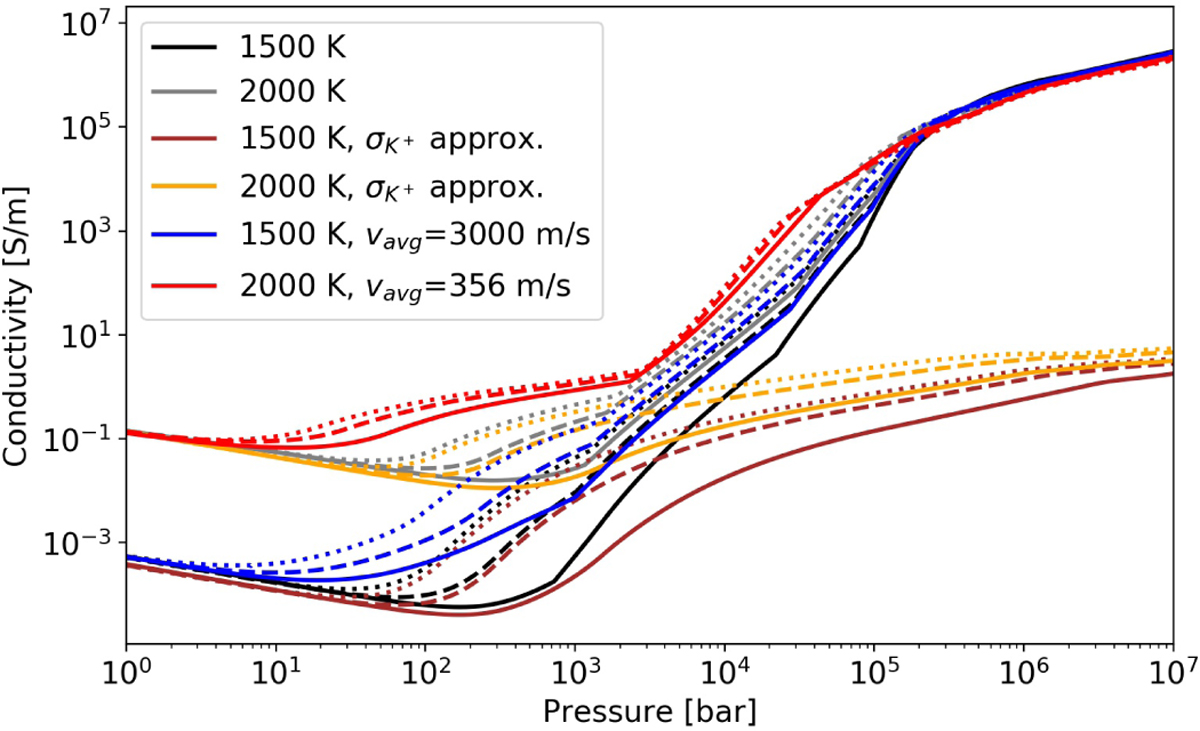
Electrical conductivity, σ, as a function of pressure for different planetary models. We show ages of t ≃ 0.4 (dots), 1.1 (dashes), and 5 Gyr (solid lines) for a planet with M = 1 Mj, showing two cases, Teq = 1500, 2000 K, without (black, grey) and with Ohmic heating, parameter υavg = 3000 and 356 m/s, respectively (blue, red). We also show (brown and gold lines), for comparison, the simplified K+ -only thermal ionisation formula, which neglects pressure ionisation, for the cases without Ohmic heating.

Current usage metrics show cumulative count of Article Views (full-text article views including HTML views, PDF and ePub downloads, according to the available data) and Abstracts Views on Vision4Press platform.

Data correspond to usage on the plateform after 2015. The current usage metrics is available 48-96 hours after online publication and is updated daily on week days.

Initial download of the metrics may take a while.