Open Access

Fig. 8

image

Download original image

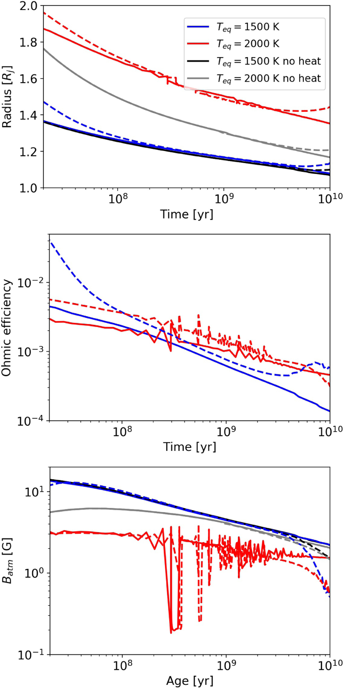
Comparison of the planetary radii (top), Ohmic efficiency (middle), and background magnetic field at the surface Batm (bottom) between models with a fixed (solid lines) and varying (dashed) Teq. We consider models with Teq = 1500 K (black and blue lines with vavg = 0 and 1000 m/s, respectively) and 2000 K (grey and red lines with vavg = 0 and 178 m/s, respectively), where these values of Teq are at t = 5 Gyr in the cases with evolving stellar luminosity.

Current usage metrics show cumulative count of Article Views (full-text article views including HTML views, PDF and ePub downloads, according to the available data) and Abstracts Views on Vision4Press platform.

Data correspond to usage on the plateform after 2015. The current usage metrics is available 48-96 hours after online publication and is updated daily on week days.

Initial download of the metrics may take a while.