Open Access

Fig. 9

image

Download original image

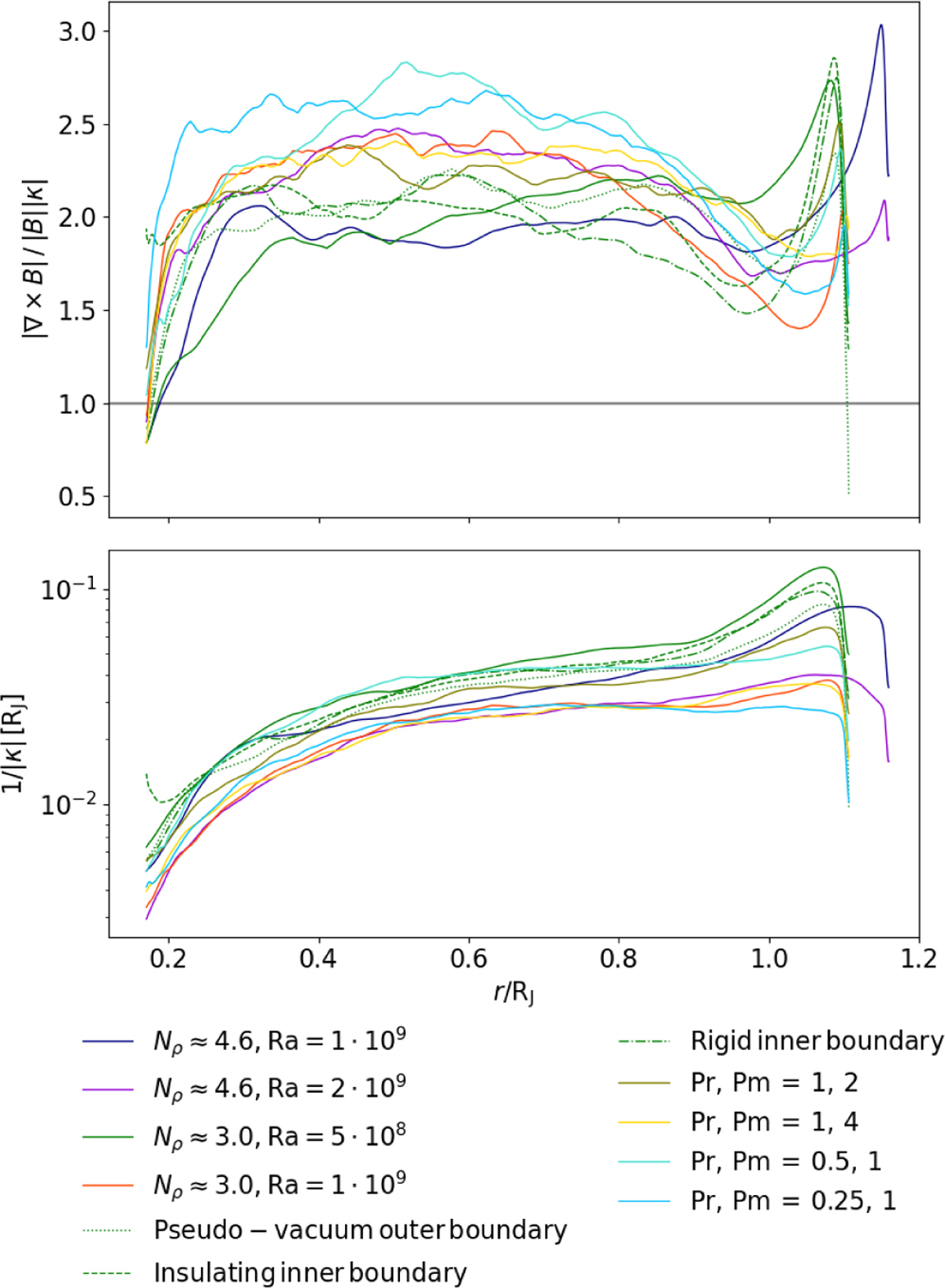
Typical radial profiles of |∇ × B∣/(κ̄B) (top) and 1/κ̄ (bottom), averaged over the spherical surface at each radius, from 3D dynamo simulations with the code MagIC. In order to explore the sensitivity to the free parameters. All models have the same boundary conditions (i.e. stress-free for the fluid and insulating for the magnetic fields outside, stress-free and perfectly conducting inside) except for the cases marked in the legend. The Ekman number is 10−5, and both Prandtl numbers are set to 1 (except for those also marked in the legend, which have Nρ ≈ 3.0 and Ra = 5 × 108. We note that 1/κ̄ becomes much smaller close to the external boundary, in order to match with the potential configuration constraint. See Appendix B.2 for more details.

Current usage metrics show cumulative count of Article Views (full-text article views including HTML views, PDF and ePub downloads, according to the available data) and Abstracts Views on Vision4Press platform.

Data correspond to usage on the plateform after 2015. The current usage metrics is available 48-96 hours after online publication and is updated daily on week days.

Initial download of the metrics may take a while.