Open Access

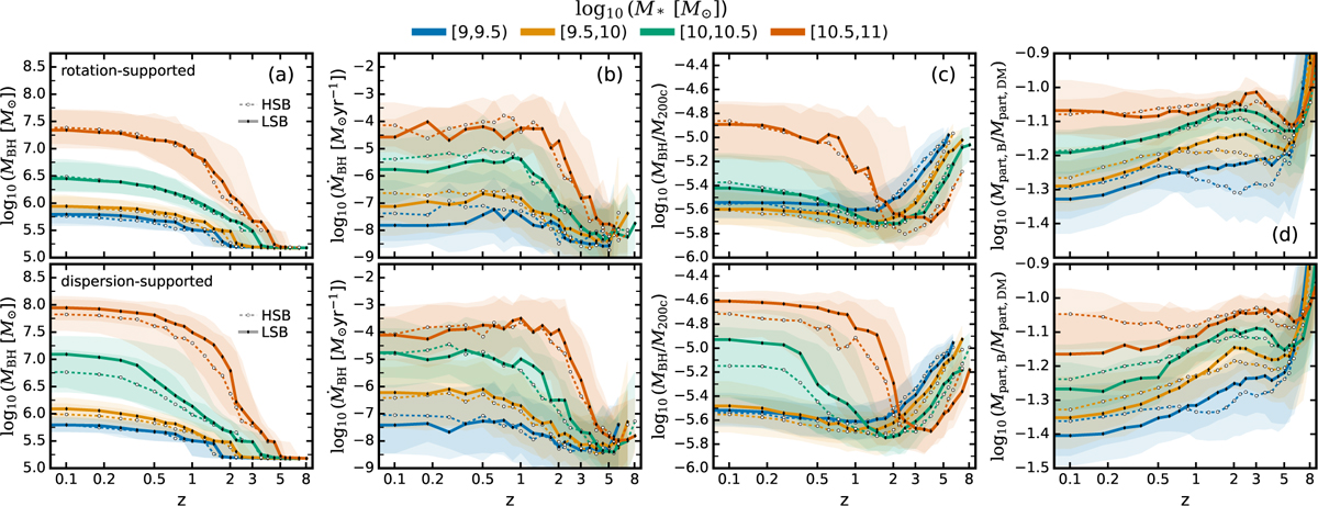
Fig. 10

image

Download original image

Redshift evolution of MBH, BH, MBH/M200c, and, Mpart,B/Mpart,DM (left to right), binned by stellar mass at redshift ɀ = 0, for rotation-supported system (upper panels) and for the dispersion-supported system (lower panels). See Fig. 7 for colour and symbol coding. We refer to Section 2.2 for statistical definitions.

Current usage metrics show cumulative count of Article Views (full-text article views including HTML views, PDF and ePub downloads, according to the available data) and Abstracts Views on Vision4Press platform.

Data correspond to usage on the plateform after 2015. The current usage metrics is available 48-96 hours after online publication and is updated daily on week days.

Initial download of the metrics may take a while.