Open Access

Fig. 1.

image

Download original image

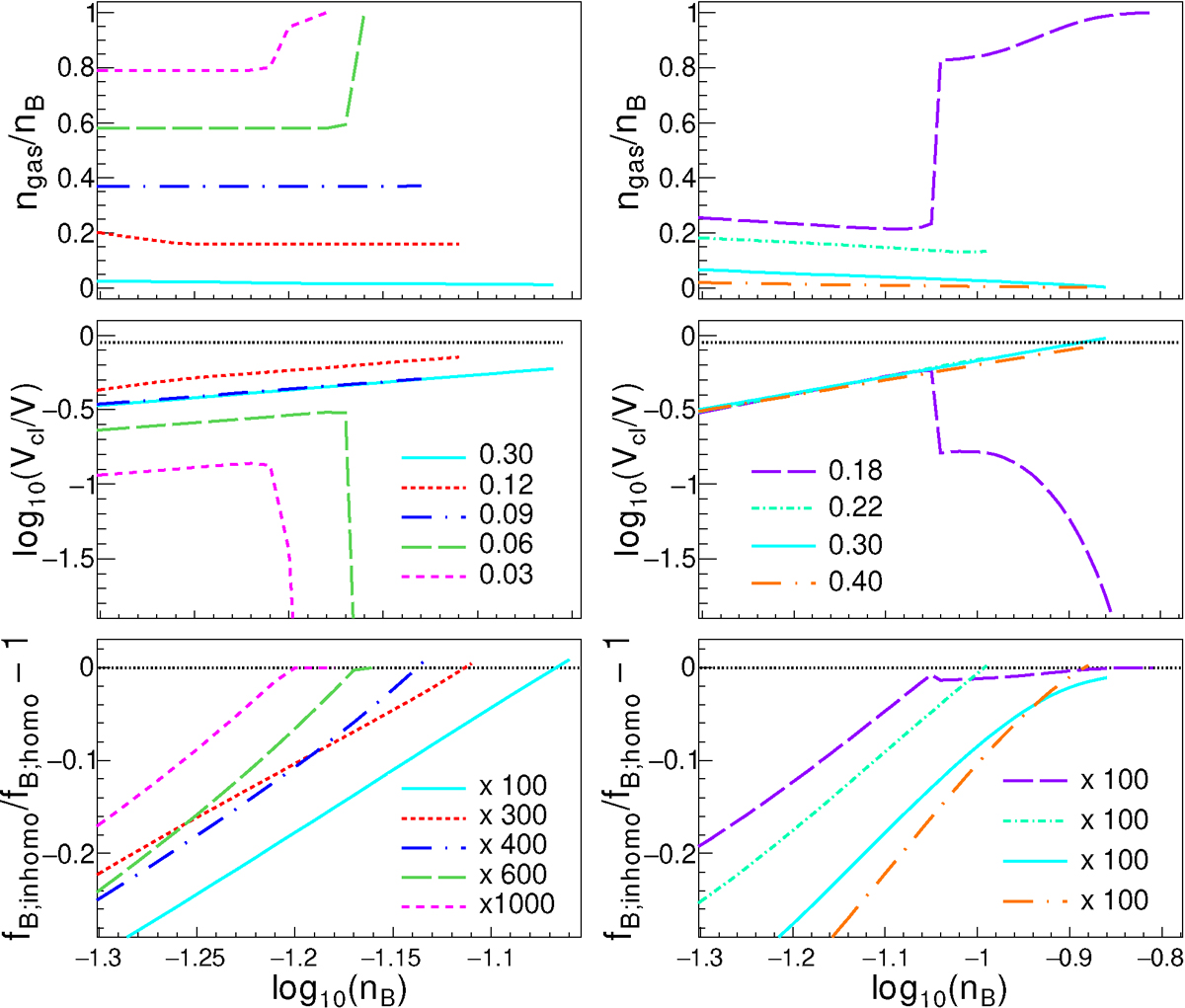
Selected properties of the mixture of unbound nucleons and nuclei while approaching the transition to homogeneous matter for T = 0.23 MeV (left column) and 5.75 MeV (right column) and various proton fractions, as indicated in the legend. Considered are the relative difference between the baryonic free energy densities of inhomogeneous and homogeneous matter (bottom row), intrinsic volume of nuclei with A ≥ 2, Vcl, relative to the full volume, V, (middle row) and relative density of unbound nucleons (top row) as functions of density. For better readability, the quantities in the bottom panel are multiplied with arbitrary factors shown in the legend. The considered interaction is BBSk1.

Current usage metrics show cumulative count of Article Views (full-text article views including HTML views, PDF and ePub downloads, according to the available data) and Abstracts Views on Vision4Press platform.

Data correspond to usage on the plateform after 2015. The current usage metrics is available 48-96 hours after online publication and is updated daily on week days.

Initial download of the metrics may take a while.