Open Access

Fig. 5.

image

Download original image

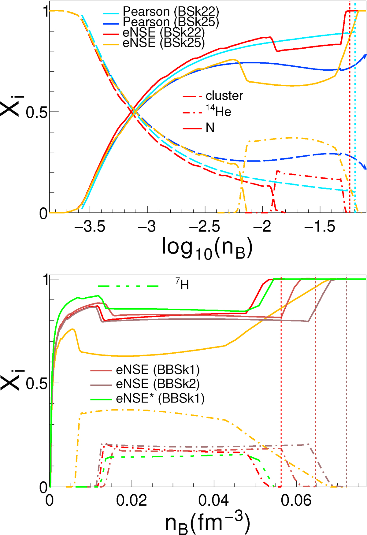
Mass fractions of various species present in the inner crust and their dependence on the effective interaction as functions of baryon number density. The eNSE results are for T = 0.1 MeV. Top panel: eNSE predictions confronted with the zero-temperature results of Pearson et al. (2018). Bottom panel: Mass fractions of 14He, 7H and unbound nucleons, as predicted by eNSE. The considered effective interactions are BSk22 and BSk25 from (Goriely et al. 2013) and BBSk1 and BBSk2 proposed here. As in Fig. 4, vertical dashed lines mark the transition to homogeneous matter.

Current usage metrics show cumulative count of Article Views (full-text article views including HTML views, PDF and ePub downloads, according to the available data) and Abstracts Views on Vision4Press platform.

Data correspond to usage on the plateform after 2015. The current usage metrics is available 48-96 hours after online publication and is updated daily on week days.

Initial download of the metrics may take a while.