Open Access

Fig. 2.

image

Download original image

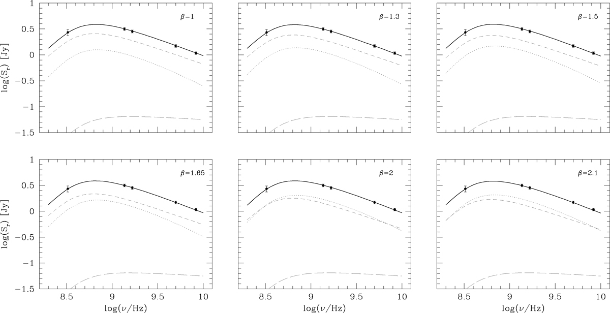
Model radio spectra for the values of β considered in this study (thick solid curves), each including primary and secondary electron synchrotron emission (short-dashed and dotted curves, respectively) and thermal free-free radiation (long-dashed curves), are overlaid with data from Table 1 (black dots).

Current usage metrics show cumulative count of Article Views (full-text article views including HTML views, PDF and ePub downloads, according to the available data) and Abstracts Views on Vision4Press platform.

Data correspond to usage on the plateform after 2015. The current usage metrics is available 48-96 hours after online publication and is updated daily on week days.

Initial download of the metrics may take a while.